云鹰读书会(二十四)
2019-05-102019年4月30日下午,南开大学经济学院云鹰读书会在经济学院园阶204教室“国际经济与贸易科研训练:理论”课上顺利进行。本次读书会由经济系2016级本科生魏明阳和国际经济贸易系2017级本科生王子禾展示Jonathan Eaton and Samuel Kortum的论文TECHNOLOGY, GEOGRAPHY, AND TRADE ,国经贸系孙浦阳老师跟进并指导。

一、写作动机
EK2002是贸易领域具有极其重要地位的经典文献,本文的写作基于作者观察到贸易领域的四个经验事实:(1)贸易额随地理距离而减少;(2)各地产品价格具有较大差异;(3)要素收益不均等;(4)产品间以及国家间的生产技术具有异质性。在上述四种四项经验事实的基础上,本文成功地将产品生产的比较优势(促进双边贸易额)和地理要素(阻碍贸易额)同时纳入模型,这是李嘉图模型在理论上的又一次完善和进步,也被MIT的Donaldson教授称为“李嘉图模型的复兴”。
二、全文总览
本文主要可以分为四个部分,首先是对于技术的刻画。同本文的基准文献DFS1977相比,本文最大的创新和亮点即使用概率分布(Frechet Distribution)的形式刻画技术及其异质性,具体部分将在模型设定部分详细说明。
此后,本文通过模型将双边贸易额同地理、技术要素联系在了一起,推导出了供给侧、国家层面的引力方程(supply-side and country-level gravity equation)。
而在模型的参数估计部分,作者使用1990年19个OECD国家的制造业双边贸易数据对模型的参数进行了估计。
本文的最后一个部分使用了本文第三部分估计的参数进行了反事实分析,得出了本文的重要结论。
三、模型设定
本文模型的设定大体可以分为基本假设、技术设定、价格指数设定、贸易额设定、引力方程推导、参数θ的估计六个部分。

首先是模型的基本假设。同先前文献类似,本文的需求侧,作者采取CES效用函数进行刻画,而在供给侧,作者使用Frechet Distribution刻画异质性技术,仅仅采取劳动力一种要素投入。在贸易领域,作者使用冰山成本作为地理阻碍效应的衡量;在国内市场领域,作者做了完全竞争假设。更为具体的模型假设如下所示:


对于本文技术的刻画,作者认为生产产品的最优策略是采取当前最先进的技术,故作者假设技术服从三种极值分布中的一种(根据Fisher-Tippett定理可得),处于模型求解与后续推导的方便,作者采取了简化形式的Frechet Distribution刻画技术。为了更好地理解为什么技术服从极值分布而不是其他类型的分布,我们可以简单比较中心极限定理与Fisher-Tippett定理的内容:


在上述的理解之上,我们进一步讨论本文所采取的Frechet Distribution的性质,根据下图显示,参数T决定分布的均值,而参数θ决定分布的方差,所以参数T在本文衡量的是技术的绝对优势,而参数θ决定衡量各国间技术的比较优势。


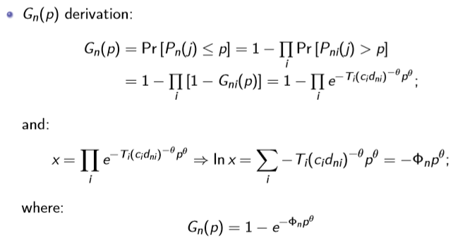
对于价格部分的推导,本文巧妙地使用了三个概率进行衡量,具体的推导过程为:






上述过程即为本文三个同价格相关的概率和价格指数的推导全过程,其中价格参数有着较为重要的经济学含义,因为根据其表达式,我们可以知道这个参数包含了全球的技术、投入以及地理三方面的信息,是本文模型最为核心也是最具有代表性的参数,其更具体的经济学含义为:

本文对于贸易额的推导巧妙的将之前推导的概率转化成为了贸易份额占比,具体内容如下:

在上述的基础之上,作者推导出了本文的引力方程:


在参数θ的估计中,使用了1990年19个OECD国家的制造业双边贸易数据对模型的参数进行了OLS估计,参数θ的估计值为8.28,具体的估计过程详见本次展示的幻灯片(原文链接中将附上此次展示的幻灯制作包以及王永进老师的附加材料)。
这部分是模型的闭合,首先利用成本函数表示价格与贸易份额


再分为劳动力可流动和不可流动两种情况,分别构建制造业部门收入的等式
5式与6式通过联立方程可以求解出均衡

参数估计部分以10式为核心,考察各因素对贸易流量的影响


表三说明了各变量对于贸易的影响程度和各国的在贸易中的竞争力与开放程度,其中距离与贸易份额负相关,且影响很大,边界、语言、贸易联盟与贸易份额正相关,欧洲自贸区EFTA对贸易促进作用最为明显

表四说明了各国技术因素在竞争力中的占比。竞争力指标受两个因素的影响:更高的科技水平和更低的工资。这里考察的是科技对于竞争力的决定程度

表七说明了在不同的theta下各种变量对贸易的影响程度,以及各国目的地效应对于贸易的影响。

表八参数是进行反事实分析基础

作者在反事实分析中着重关注福利的变化,分别进行了以下四个实验:阻断贸易,封闭经济情况下的福利与贸易情况;完全的自由贸易情况下的福利和贸易情况;技术和地理因素如何决定比较优势;一国技术的增长对世界其他国家福利的影响










稿件来源:魏明阳 王子禾
编辑:杨瑛凡
审校:王永进
点击“阅读原文”,获取此次展示的幻灯片制作包以及王永进老师的附加材料。(网盘提取码:y8iq )
