云鹰读书会2021第10期(总第65期)
2021-05-262021年5月10日下午,南开大学经济学院云鹰读书会在二主楼A504教室“国际经济与贸易科研训练:理论”课上顺利进行,本次读书会由2019级本科生张书维展示Engel’s Law in the Global Economy: Demand-Induced Patterns of Structural Change, Innovation and Trade,由国际经济贸易系王永进老师、宋泽老师、杨嗣强老师跟进指导。
特别鸣谢
本次云鹰读书会由南开大学国际经济贸易系
系友苏武康博士赞助支持
01|简介
1.1 摘要
简单的来说恩格尔定律就是由于部门间的收入弹性的差异所导致的部门间的内生的需求组合会影响:
①部门对劳动力的需求以及产品的附加值
②部门间生产创新的效率
③国家间产业内贸易的模式
④富国到穷国的产品周期
在连续商品、技术直接转移的两国家模型下, 各国都有非位似的偏好。这样的设定足以包含以上所有的效用以及其交互作用。这篇文章用统一的方式描述了恩格尔定律影响下,经济增长以及全球化对国家间和部门间的结构转移、创新、以及贸易模式的影响。文章主要论述了全球化强化而不是弱化国内市场需求组合的作用, 内生的需求是推动结构转移的主要力量。
1.2 研究动机
这篇文章把劳动力生产效率和收入弹性的影响统一在一个模型中并把它们作为两个相关的内生变量。以及综合考率施默克勒效应, 林德尔效应, 以及国内市场效应对于在恩格尔定律下对国际贸易,技术转移,结构变化的影响。在以往研究结构转移的文章当中通常把劳动生产率和收入弹性视作两个不相关的变量, 但是实证分析验证这样的假设是不合理的, 违背了庇古定律。于是作者就用统一的模型联合分析两个变量的作用。于是就有了本文使用的隐式直接可积的效用函数的模型。
1.3 重点


02|模型
2.1 模型中的外生参数


2.2 发现
2.2.1 隐式直接可积的效用函数


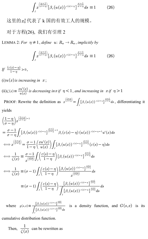
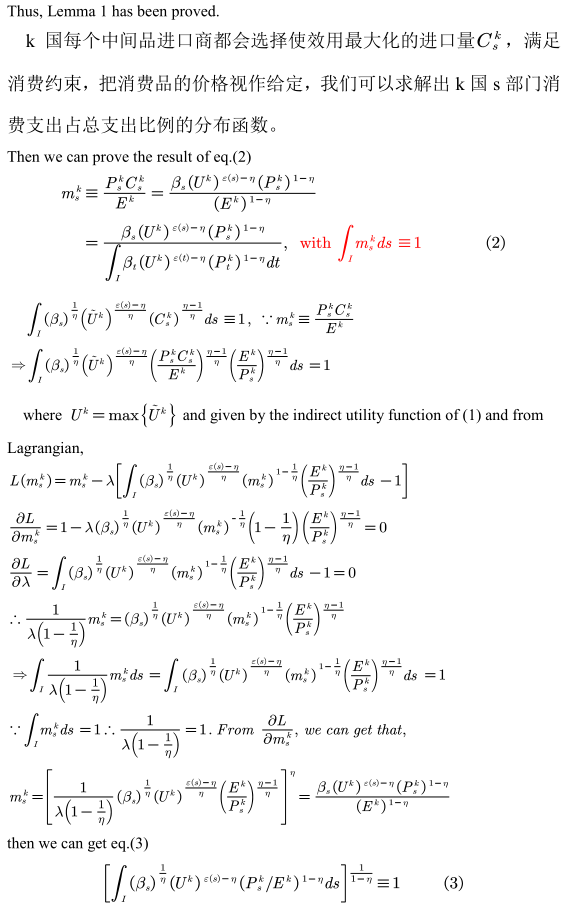
2.2.2 方程(1)性质







2.3 产出与贸易
特别地, 我们将模型剩余的部分标准化, 使用迪克西特-斯蒂格里茨-克鲁格曼的关于产出与贸易的垄断竞争模型来分离恩格尔定律的影响。
2.3.1 生产消费品的竞争性部门

2.3.2 冰山成本与差异化中间投入品的需求



2.3.3 垄断竞争厂商的生产与定价

2.3.4 自由进入条件和部门的劳动力使用份额


2.4 均衡条件



03|结构转移模式与封闭经济的均衡
3.1 封闭经济的均衡






04|贸易均衡: 国家间的差异
分析在一系列给定参数的情况下, 两国之间的贸易均衡的差异。
4.1 贸易条件与国内市场对投入品生产者收益的贡献



4.2 人均实际收入和市场规模的分布



4.3 国内市场对于劳动力雇佣以及贸易模式的影响



4.4 国内市场对部门间产业内贸易的作用


4.5 劳动生产率与国家规模之间的比较



05|贸易均衡: 比较静态分析
5.1 背景





5.2 贸易条件不变的全球化



5.3 贸易条件改变的全球化



下期预告
时间:2021年5月17日下午 2:00-4:35
地点:南开大学第二主教学楼A504
论文:Evolving comparative advantage, sectoral linkages, and structural change
文稿:张书维
编辑:冯双婷、刘东辰
审校:王永进
