云鹰读书会2021年第12期(总第67期)
2021-06-072021年5月24日下午,南开大学经济学院云鹰读书会在二主楼A504教室“国际经济与贸易科研训练:理论”课上顺利进行,本次读书会由2018级本科生苏韧和2019级本科生李彦陈展示Trade, Migration, and Productivity: A Quantitative Analysis of China,由国际经济贸易系佟家栋老师、王永进老师、杨嗣强老师跟进指导。
特别鸣谢
本次云鹰读书会由南开大学国际经济贸易系
系友苏武康博士赞助支持
01|引入
我国人均实际GDP在2000年至2007年间接近翻倍,我们常常将这一巨大成就归功于对外贸易的繁荣。但事实上,国内政策改革起了非常大的作用,通过本文,我们将知道国内政策改革引起的国内贸易成本降低与国内迁移成本的降低对我国经济增长的巨大作用。
02|数据、事实以及粗略计算
2.1 收入的空间分布
数据来源:
名义GDP、各省份各部门的就业数据来自中国统计年鉴;
农村和城市的价格水平结合了Brandt and Holz (2006)的处理方法以及国家数据库的消费篮子权重。
数据预处理:
将农业和非农业的数据分别加总;
通过消除通货膨胀的影响计算真实GDP。
根据数据作出图表:


结论:
1. 我国工人的人均收入存在极大的空间分布不均:东部高于中西部、这种不平衡比美国更加严重、将工人人均实际GDP最高的五个省份作平均计算是最低五个省份同一数值的4倍。
2. 部门内部以及部门之间都存在较大的不平衡。
2.2 人口迁移政策与迁移模式
政策变迁:
1958年正式建立户口制度;
1958-1978年,禁止工人在户口所在地之外的地方工作;
1980s-2003年,在外地工作需要得到批准;
2003年至今,不再对外来务工人员作政策上的限制;
但迁移的成本仍然很大:移民不能完全享受公共服务(异地就医问题、子女的异地受教育问题)。因此更多的工人选择在省内迁移,并没有跨省。并且因为这种移民成本的存在,平均下来外出务工人员只在外地工作7年。
数据来源:
劳动力市场的数据来自国家数据库的调查。
移民数据来自2000年与2005年的全国人口普查(2005年是样本抽样调查)
定义:
省内移民:在户口所在省工作但从事的不是户口类型的工作(从农业到非农业)
跨省移民:在户口所在省之外的省份工作
根据数据作出图表:

结论:
1.大多数省内移民是从农村到城市
2.2000年至2005年增加的移民主要是从农业到非农业
3.人均收入越高的省份,移民所占比例也越高;存在更多跨省移民的省份,省内移民也越多。
2.3 贸易政策与贸易模式
国内贸易壁垒:
90年代国内贸易成本仍然很高。
各地国有部门规模较大,各地政府普遍介入当地市场保护。
2000年开始的政策改革:
2001年朱镕基总理禁止了地方政府参与市场保护的行为。
国企改革,国有部门规模减小,其他经济成分更多参与。
交通和物流条件都大大改善。
数据来源:
国家统计局的多项调查
Li (2010),Zhang and Qi (2012)
选择数据的策略:从“进口”的视角
变量含义解释:

根据数据作出表格:

结论:
1. 大多数省份从国内其他地区的进口多于从国外进口。
2. 2002年到2007年,从国内其他省份进口、从国外进口都增加了。
2.4 移民和贸易产生的潜在收益(粗略计算)


结论:
1. 移民的变化对GDP增长贡献最多。
2. 国内贸易的增长比对外贸易的增长贡献更多。
但这一计算存在问题:
1. 贸易和移民被单独对待了,没有考虑到它们的均衡。
2. 没有模型来定量分析移民和贸易成本缩减对GDP增长的贡献。
3. 没有考虑土地这一要素禀赋和地区相对优势。
4. 没有考虑中间投入品。
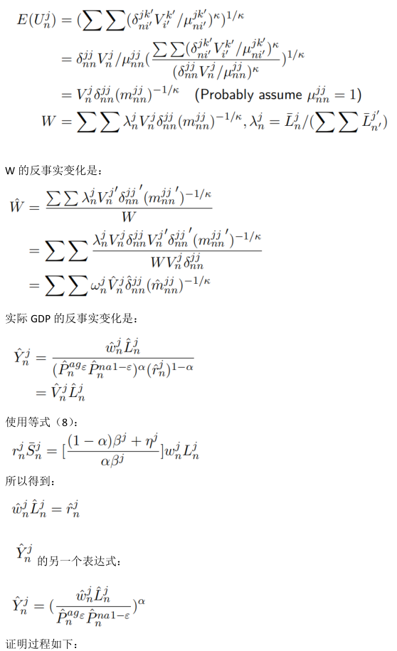
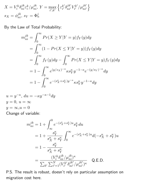
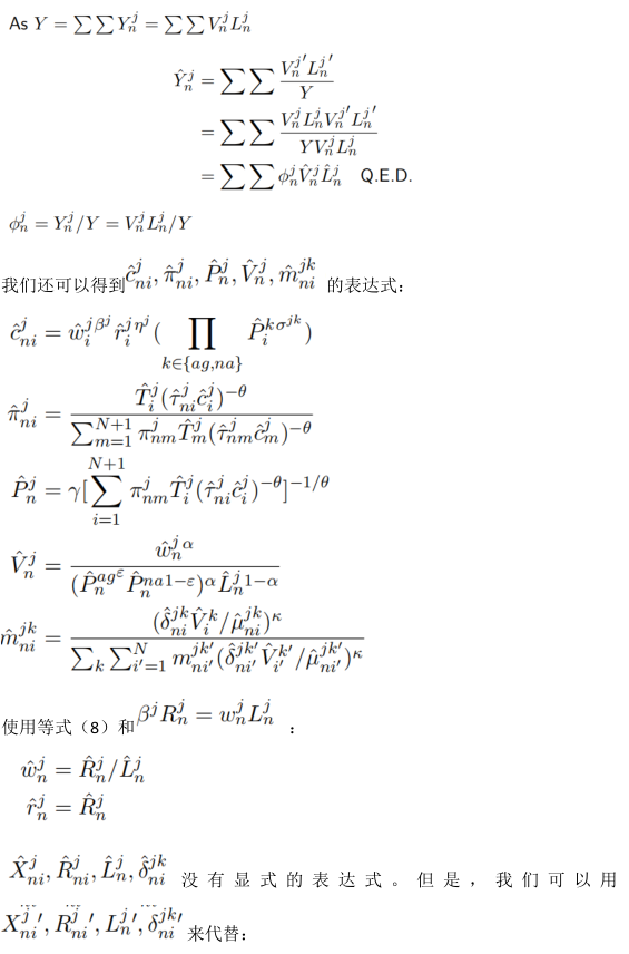
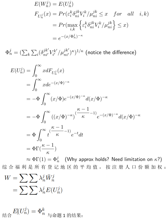
03|定量模型
模型基础:GE model based on EK (2002), Ahlfeldt et al. (2015) and Redding (2016)
国内两个可贸易部门和多个可贸易地区。
地区之间移民存在成本、地区内存在农村到城市的移民。
3.1 工人的偏好
假设:
1. 国内可以进行移民,但不存在劳动力国际流动。
2. 每个人都有户口类型(农村或城市),效用函数服从柯布道格拉斯形式。

3.2 生产、贸易和商品价格


3.3 工人收入


3.4 国内移民
假设:
1. 国内移民存在成本
2. 移民放弃了户籍所在地的土地回报
3. 移民存在效用损失
变量及符号解释:


3.5 解模型





3.6 模型校准



04|推断迁移和贸易成本
4.1 移民成本


4.2 贸易成本

05|定量分析
主要的调查结果:
1. 与粗略计算一致:内部贸易和国内移民对GDP增长和福利的贡献大于国际贸易。
2. 贸易和移徙的增加主要分别是由于贸易成本和移徙成本的减少。
3. 两种成本变化之间的交互影响很小。
4. 降低贸易成本所获得的收益大于粗略计算的结果:生产中的中间输入可放大这些收益。
5. 减少迁移成本带来的收益小于粗略计算的结果:固定因素和区域比较优势意味着对迁移的收益正在减少。
5.1 降低移民成本

结果:
1. 移民数量急剧增加:省际移民数量增加了约81%;在同一个省拥有农业户口的非农业工人人数增加了近15%。
2. 劳动力重新分配有利于中国整体福利的增长:实际GDP和福利增长了4.8%和11.1%。
3. 移民流向了较高收入的地区:例如。上海的就业人数增长了300%以上。
4. 移民迁移省份的实际收入下降,地区收入差异急剧下降。
5. 贸易流量的区域异质性:最初,收入较高的沿海地区,贸易显著增加,而低收入地区的贸易量减少。
省和部门之间移徙成本变化:
1. 省内的变化使总劳动生产率提高2%,福利提高5.9%。
2. 省间、部门间的劳动生产率提高了2.8%,福利提高了3.5%。
3. 总体而言,总生产力和福利的增幅为4.3%和9.1%。
4. 比部门内、省间迁移成本的变化所产生的收益要大得多:农业的非农业比例分别为0.7%和2.2%。
总劳动生产率增益小于粗略计算结果:
1. 有两个回报递减的驱动力:土地作为固定因素和区域比较优势。
2. 假设生产中没有土地投入:总劳动生产率增长增加到5.3%。
3. 假设没有住房需求:涨幅增加到6.5%。
假设没有土地投入,没有住房,在不同地区生产的商品是完美的替代品(θ→∞,没有地区比较优势):劳动生产率的总增长率为11.8%,接近粗略估计。
5.2 降低贸易成本的影响


5.3 分解中国近期的经济增长

结果:
1. 生产力增长所占的比例最多:64.6%(在57.1%的总增长中有36.9%)。
2. 内部贸易和移民摩擦的减少占近三分之一:28%(57.1%中的15.8%)。
3. 国际贸易成本的削减幅度很小:只有8%(57.1%中的4.5%)。
4. 移民成本的变化:主要是由于农业和非农业移民,特别是省间的移民。
5. 标准偏差:相对于平均值,每个组件的边际贡献的变异性很小。
06|进一步改革的潜在收益
6.1 进一步降低贸易和移民成本
6.1.1 选择反事实的内部成本

6.1.2 选择反事实的迁移成本

6.2 土地改革


结果:
1. 土地改革的首先影响:增加移民人数。
2. 高土地收入地区到低工资、低租金地区:
(1)政策转向个人土地所有权增加了福利和移民,同时减少了实际的GDP。
(2)实际GDP相对较低的GDP地区农业工人的增加导致了GDP总值的下降。
(3)随着越来越多的工人能够住在他们喜欢的地方,并从城市地区获得更高的回扣,住在成本较低的农村地区,福利也有所上升。
07|结论
1. 许多人将中国的快速增长归因于对外贸易自由化和由廉价农民工支持的出口扩张,而内部政策改革几乎没有受到关注。
2. 我们发现,这些改革有助于降低了国内贸易和移民的成本。
3. 利用GE,我们量化了贸易和移民成本的变化对中国生产率增长和福利的影响。
4. 我们发现,内部贸易自由化比对外贸易自由化会产生更大的重新分配效应。
5. 尽管已经有所减少,内部贸易和移徙成本仍然很高,进一步自由化带来的收益很大,特别是土地改革。
本文的结果可能会导致人们得出结论,国际自由化对总体结果并不重要,但我们量化的贸易自由化的贡献仅仅是贸易诱导的资源重新分配的影响。然而,对外贸易自由化也可能通过我们没有研究的其他渠道促进生产力的增长,例如外国直接投资和相关的技术转让(Ramondo and Rodr´ıguez-Clare (2013)),以及对外贸易自由化对内部政策改革的影响。
下期预告
时间:2021年5月31日下午 2:00-4:35
地点:南开大学第二主教学楼A504
论文:Muellbauer, J., 1975, ”Aggregation, Income Distribution and Consumer Demand,” Rev.Econ.Stud.42(4)
文稿:李彦陈
编辑:冯双婷、刘东辰
审校:王永进
