云鹰读书会2022第23期(总第104期)
2022-05-172022年5月12日上午,南开大学经济学院云鹰读书会以线上形式在“国际经济与贸易科研训练:理论”课上顺利进行,本次读书会由2020级本科生辛易峰、张益霖、张晟颖展示Jagdish N. Bhagwati的论文Baqaee, D., & Farhi, E. (2019). A short note on aggregating productivity (No. w25688). National Bureau of Economic Research.,由国经贸系王永进、杨嗣强老师跟进并指导。
特别鸣谢
本次云鹰读书会由南开大学国际经济贸易系
系友苏武康博士赞助支持
01|引言
关于经济增长的核算追溯到Solow(1957)的研究,Domar提出基于收益的多玛权重后,Hulton(1978)将其应用于完全竞争经济体总生产率变化的核算中,Hall(1990)提出基于成本的多玛权重,并在单一生产者非完全竞争的经济中证明了使用基于成本的多玛权重才能正确衡量总生产率的变化。Baqaee & Farhi(2017)将Solow – Huton – Hall的理论延伸至具有多个生产者、中间投入及非完全竞争的经济。
本文的两个理论均为对前人提出理论的延伸和进一步讨论,具有普遍性。第一个理论在BF2017的基础上进行延伸,放宽了不变要素投入的假设;第二个理论为对Petrin & Levinsohn(2012)提出总产出变化分解方式的讨论。值得注意的是,PL2012与BF2017、BF2019的推导思路不同,进行增长核算时对数据的要求也不同。
上述理论的逻辑关系如下图所示:

以下分别对BF2017、BF2019及PL2012进行说明、推导和比较,同时也将介绍其与前人理论的联系。
02|BF2017
2.1 模型建立



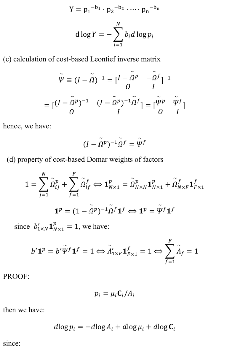
2.2 投入产出定义
注:详细定义见云鹰读书会2022第22期




2.3 事后简化型


2.4 非生产性劳动生产率(固定成本)冲击




2.5 垂直、水平经济示例




03|BF2019
3.1 总生产力的分解

3.2 第一个分解:扩展BF 2017








04|PL2012

4.1 定理一与定理二的对比——证明


4.2 定理一与定理二的对比——具体形式

4.3 定理二在特殊情况下的具体表现形式:



05|总结
在本篇论文中,我们在最普遍的情形下扩展了BF2017以及PL2012的结论,提出了关于衡量总产出进步不同形式的两个定理。这两个定理各有其优劣之处,并且在一些形式和证明的细节上也存在差异,我们要基于具体情形做出最优选择。
参考文献
Baqaee, D. R., & Farhi, E. (2020). Productivity and misallocation in general equilibrium. The Quarterly Journal of Economics, 135(1), 105-163.
Hall, R. E. (1988). The relation between price and marginal cost in US industry. Journal of political Economy, 96(5), 921-947.
Hall, R. E. (1990). Growth/Productivity/Unemployment: Essays to Celebrate Bob Solow’s Birthday, Chapter 5.
Hall, R. E. (2018). New evidence on the markup of prices over marginal costs and the role of mega-firms in the us economy (No. w24574). National Bureau of Economic Research.
McKenzie, L. W. (1959). On the existence of general equilibrium for a competitive market. Econometrica: journal of the Econometric Society, 54-71.
Petrin, A., & Levinsohn, J. (2012). Measuring aggregate productivity growth using plant‐level data. The Rand journal of economics, 43(4), 705-725.
下期预告
时间:2022年5月19日上午8:55-11:40
地点:南开大学经济学院圆阶305教室
论文:
Baqaee, D. R., & Farhi, E. (2019). The Macroeconomic Impact of Microeconomic Shocks: Beyond Hulten's Theorem. Econometrica, 87(4), 1155-1203.
敬请期待!
文稿:辛易峰 张益霖 张晟颖
编辑:冯双婷 刘东辰
审校:王永进
2022年5月17日
