云鹰读书会2022第28期(总第109期)
2022-09-272022年9月19日上午,南开大学经济学院云鹰读书会在圆阶303教室“国际经济与贸易科研训练:实证”课堂上顺利进行,本次读书会由2020级本科生孟洁源同学,2019级本科生董晨曦同学展示James A. Brander的论文“Intra-industry trade in identical commodities,” Journal of International Economics, 1981(11):1-14, 由国际经济贸易系冯笑老师、杨嗣强老师跟进指导。
特别鸣谢
本次云鹰读书会由南开大学国际经济贸易系
系友苏武康博士赞助支持

01|引言
经济现实表明,世界贸易的很大一部分是在相似的产品和相似的国家之间进行的(参见Grubel和Lloyd, 1975)。虽然赫克歇尔-俄林模型与李嘉图模型并没有排除这种贸易,但它们也未能很好地解释这种贸易出现的原因。通常认为,产业内贸易中生产的商品略有不同,贸易的发生是因为商品的细微差异满足了消费者的多样化偏好。然而,我们也可以将强调商品的相似性的模型作为贸易产生的动因。这种模型或许更适合于分析产业内贸易中的现象。
在本文里,我们将探讨同种产品双向贸易存在的可能性,并深入研究此类贸易的特点以及对福利的影响。我们假定相互贸易的国家是相似的,研究发现相同商品的产业内贸易是由规模报酬递增、运输成本以及企业的不完全竞争行为的相互作用共同决定的。
02|模型
2.1 模型的假定

2.2 模型的建立


2.3 模型的求解


2.4 模型的结论


03|产业内贸易的特点
3.1 相互倾销

3.2 规模不经济

3.3 竞争程度


3.4 多样性

3.5 竞争程度(Degree of Competition)

3.6 考虑公司数量增加的情况


04|结论
本文的结论是相同商品的产业内贸易是可能发生的。虽然存在运输成本,但同种商品的双向贸易因为降低了垄断扭曲,最终能够实现福利的增加。值得注意的是,当企业数量增加时,这种双向贸易的份额在不断减少,这进一步揭示了垄断程度与这种产业内贸易的关系。
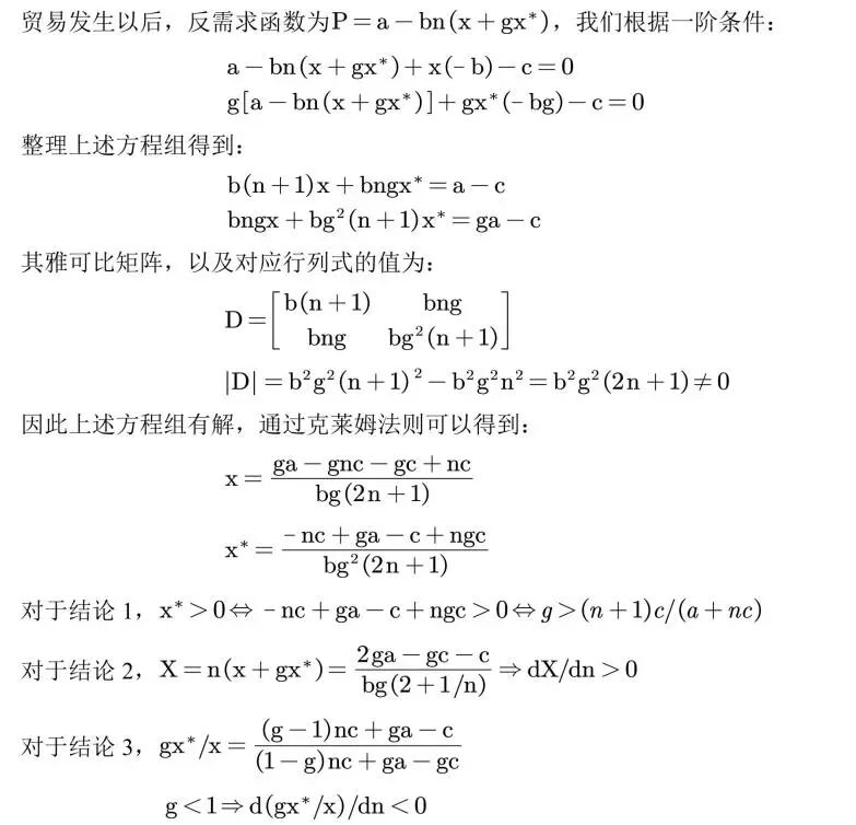
附录:3.6节的求解过程


下期预告
时间:2022年9月26日上午8:55-11:40
地点:南开大学八里台校区经济学院圆阶303教室
论文:
1.Spencer and Brander (1983,RES):International R&D Rivalry and Industrial Strategy
2.Brander and Spencer (1985,JIE):Export Subsidies and International Market Share Rivalry
文稿:孟洁源,董晨曦
编辑:冯双婷 程一然
审校:冯笑
2022年9月27日
