云鹰读书会2022第43期(总第124期)
2022-11-292022年11月21日上午,南开大学经济学院云鹰读书会在圆阶303教室“国际经济与贸易科研训练:实证”课堂上顺利进行,本次读书会由2020级本科生仲明君、王瑞鑫、范诗宇和李妍同学展示Fernando Alvarez and Robert E. Lucas, Jr.的论文“General Equilibrium Analysis of the Eaton-Kortum Model of International Trade.”, Journal of Monetary Economics, 54 (6):1726-1768,由国际经济贸易系冯笑和杨嗣强老师跟进指导。
特别鸣谢
本次云鹰读书会由南开大学国际经济贸易系
系友苏武康博士赞助支持
摘要
本文拓展了EK模型——一个竞争性的、规模收益不变的多国李嘉图贸易模型。在每个国家都征收进口关税的贸易模型中,作者证明了均衡的存在性和唯一性。在实证检验部分,作者分析了国家间贸易额的决定因素,如规模、关税和距离,并且将模型的校正版本与最大的60个经济体的数据进行了比较。最后作者使用校正模型估计了全球贸易取消关税后的收益,并解释了收益规模、自由化前关税水平和国家规模的影响差异。

一、引言
EK模型(Eaton and Kortum, 2002)强调了四个关于国际经济的广泛的事实:(1)贸易随着距离的增加而急剧减少;(2)各地价格不同;(3)各国的要素报酬不同;(4)相对的生产力因行业而异。前两条对说明地理环境很重要,后两条则说明技术因素很重要。这个模型抓住了比较优势和地理壁垒之间的对贸易的促进或抑制的矛盾。
本文介绍的是国际贸易下EK模型的一般均衡分析,主要研究目的包括以下3个:一是重申在一个特定的一般均衡背景下的EK贸易模型的变化的经济逻辑,作者在该模型中引入了关税因素。二是找出由这种类型的模型生成的贸易量的跨国分布是否与数据中的贸易量的行为一致,并分析双边贸易中规模、关税、距离等因素的影响机制。三是使用定量理论来估计假设的贸易自由化带来的福利收益。该理论的提出,解释了关税与规模水平不同的贸易主体在达成贸易自由化后的收益差异化程度。
二、模型
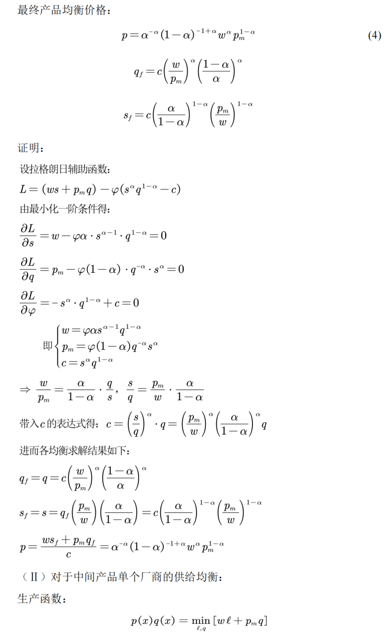
2.1 偏好、技术与封闭经济均衡








2.2 一般均衡









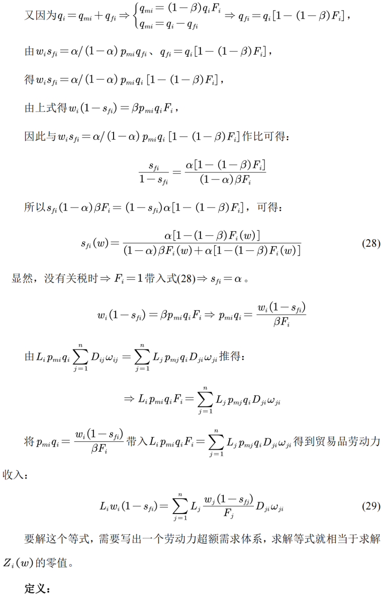
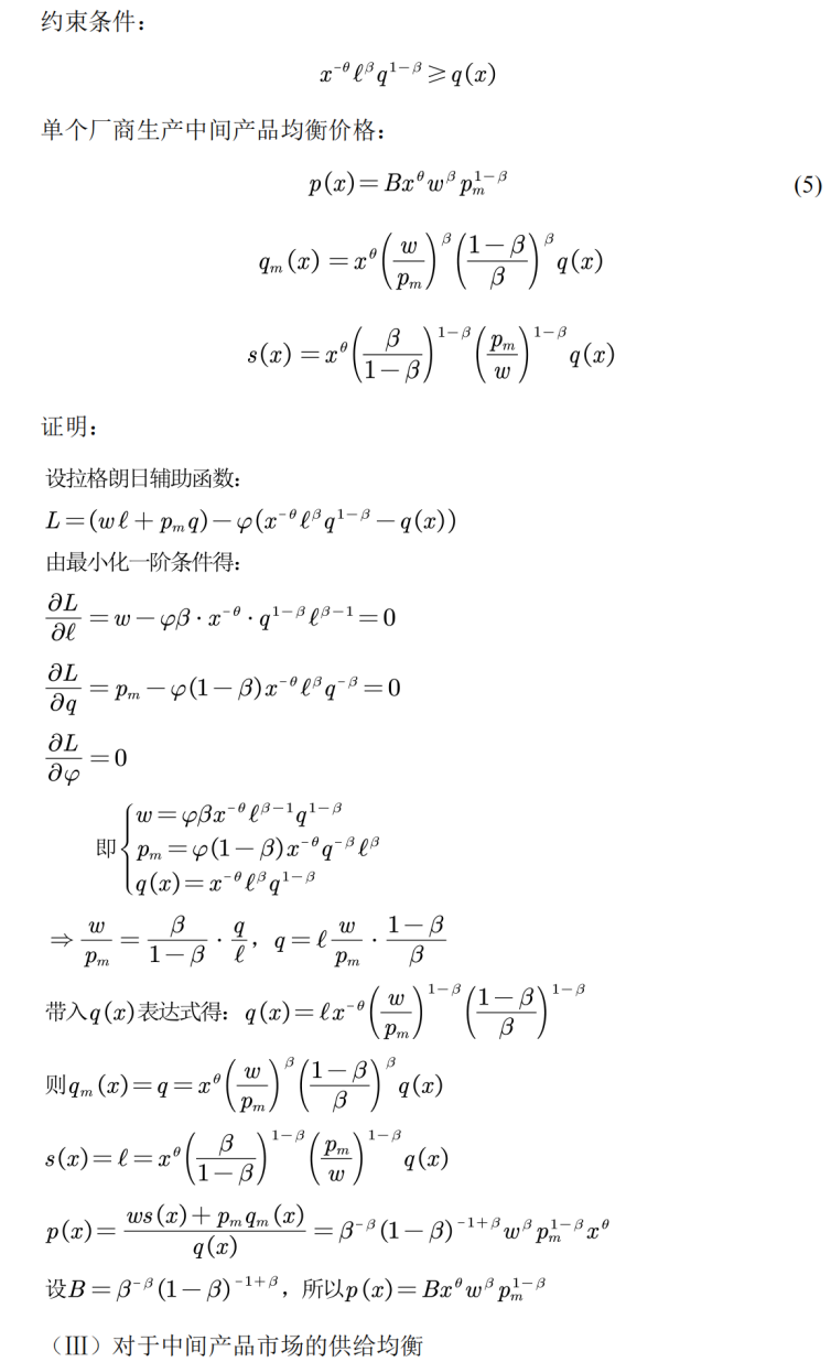
2.3 投入成本的均衡











2.4 校准






三、实证
3.1 例子









3.2 贸易量





3.3 贸易收益




3.4 相对生产率和相对价格



四、总结
这篇论文是对Eaton and Kortum贸易理论的一个特定版本的尝试。它将求解均衡价格和数量的问题简化为求解构成世界经济的n个国家的均衡工资向量的问题。本文的主要贡献有:
(1)证明了这种均衡是在合理的条件下存在的,并且在更严格的假设下,它将是唯一的。
(2)提出并测试了一种算法,该算法本质上是一个计算平衡的统计过程。
(3)该理论的“小版本”可以提供令人惊讶的预测工资、贸易量和贸易收益的精确近似值,因此铅笔和纸的计算可以用于对定量推测进行廉价检查,并帮助解释模拟结果。
在大多数情况下,理论中的对象与国民收入和生产账户、投入产出账户和标准贸易统计中的对象自然匹配,这使得许多校准很容易进行,对于成功的量化至关重要。并且,本文中的分析保持在严格静态的基础上,以便将复杂性控制在一定范围内,并更好地理解与其他贸易理论的联系。作者提出了两个可以继续深化的方向:
(1)对实物资本进行更令人满意的处理,以检查资本积累的动态以及资本对当前生产的贡献。作者表示目前正在探讨这个主题。
(2)通过引入参数 的运动规律来引入技术扩散。也许在某种组合中,这种扩展可以帮助我们发现贸易和增长之间长期寻求的理论联系。Eaton和Kortum(1999)已经研究过这个方向。
参考文献
Eaton, J., Kortum, S., 2002. Technology, geography, and trade. Econometrica 70, 1741–1779.
下期预告
时间:2022年11月28日上午8:55-11:40
地点:南开大学八里台校区经济学院圆阶303教室
论文:
Alvarez, Fernando. 2017. “Capital Accumulation and International Trade.” Journal of
Monetary Economics 91 (C):1–18.
文稿:仲明君 王瑞鑫 范诗宇 李妍
编辑:刘书渊 程一然
审校:冯笑
2022年11月29日
