云鹰读书会2022第45期(总第126期)
2022-12-192022年12月5日上午,南开大学经济学院云鹰读书会在圆阶303教室“国际经济与贸易科研训练:实证”课堂上顺利进行,本次读书会由2020级本科生陈雪飞、徐芊骅、傅晓欣同学展示B. Ravikumar, Ana Maria Santacreu and Michael Sposi的论文“Capital Accumulation and Dynamic Gains from Trade”, Journal of International Economics, 119 (2019): 93–110,由国际经济贸易系冯笑和杨嗣强老师跟进指导。
特别鸣谢
本次云鹰读书会由南开大学国际经济贸易系
系友苏武康博士赞助支持
00|摘要
本文是动态EK模型的补充和拓展。作者在Alvarez(2017)的模型基础上,创新性地加入了可贸易强度的跨国异质性以及内生贸易失衡的特征,并揭示了影响贸易收益的两个渠道。另外,本文使用了WIOD数据库中44个国家的双边贸易流量等数据进行校准和反事实分析,并使用超额需求方程来迭代价格以获得过渡及稳态结果。与以往利用梯度更新求解的非线性方法相比,该算法能更加快速地计算大范围空间中的多国贸易模型。

01|引言
本文的环境背景是在Eaton和Kortum (2002)的背景中嵌入了一个两部门的新古典增长模型,类似于Alvarez (2017)建立的动态模型,并假设可贸易中间产品用于生产投资、最终消费和中间商品,并且每个国家都有初始资本存量,并且存在资本积累。相比于已有文献,本文额外添加了两个影响收益的特征:投资品和消费品中可贸易强度的跨国异质性以及内生性贸易失衡。第一个特征会影响贸易自由化后资本积累率的跨国异质性,第二个特征则有助于各国随时间的推移平滑消费,从而影响贸易收益。
本文使用WIOD数据库校准可贸易强度、生产率和贸易成本,以便该模型的稳态能够呈现44个国家的双边贸易流量和每个国家的贸易失衡。在此基础上,本文作者通过构建一个使所有国家的贸易成本都意外地,统一地,永久地降低20% 的反事实实验,计算了从校准稳态到反事实稳态的过渡路径上内生变量的精确水平,并使用Lucas (1987)的消费等效措施计算了福利收益。研究发现:第一,自由化后的经常账户余额与经济规模呈正相关;第二,资本积累的半衰期与短期贸易逆差呈负相关;第三,贸易的收益是非线性的;第四,动态增益是稳态收益的80%;第五,动态增益比静态增益高出35%。
在此过程中,本文作者解释了贸易自由化影响收益的两个渠道: 全要素生产率 (TFP) 和劳资比例。其中TFP渠道是贸易模型中较为常见的渠道,该渠道通过影响产出与资本回报率进而影响过渡路径的产出和消费。而劳资比例渠道方面,贸易自由化会因为贸易商品价格升高促进资本积累率,进而也影响渡路径的消费。而在静态模型中,这种劳资比例的效应明显缺失。
另外,本文还强调了各部门可贸易强度的重要作用。在贸易自由化之后,投资品的可贸易强度决定了资本的过渡路径,并且其对动态资本积累率影响较小。更进一步地,投资品生产相较于消费品生产可贸易强度更高,并且两种强度差异越大的国家投资相对价格会越下降,同时利率也会急速上升。
最后,关于计算方面,本文作者使用无梯度更新规则,利用超额需求方程迭代价格,这种算法比Eaton等人(2016)、Kehoe等人(2018)使用的非线性求解器更快。
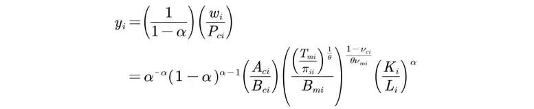
02|模型

2.1 技术


2.2 贸易

2.3 偏好

2.4 均衡





2.5 福利收益





03|模型参数校准

3.1 常规参数校准
3.2 国家特定参数校准



3.3 模型估计

04|反事实分析

4.1 算法实现及说明



4.2 动态增益(结果图示)




4.3 其他反事实分析



05 | 资本积累与可贸易强度

5.1 资本积累


5.2 可贸易强度的作用



06|总结


参考文献
1. James A. Brander and Paul Krugman (1983): A 'Reciprocal Dumping' Model of International Trade.
2. 秦朵. (1984). 高速增长定理 (Turnpike Theorem) 概述. 数量经济技术经济研究, (7), 68-78.
下期预告
时间:2022年12月19日上午8:55-11:40
地点:腾讯会议线上
论文:
Eaton et al. (2016):Trade and the Global Recession.
文稿:陈雪飞 徐芊骅 傅晓欣
编辑:冯双婷 程一然
审校:冯笑
2022年12月19日
