云鹰读书会2022第46期(总第127期)
2023-01-162022年12月19日上午,南开大学经济学院云鹰读书会在“国际经济与贸易科研训练:实证”课堂线上顺利进行,本次读书会由2020级本科生王天健、张益霖、李依霖和张曼琪同学展示Jonathan Eaton, Samuel Kortum, Brent Neiman, and John Romalis的论文“Trade and the Global Recession”, American Economic Review 2016, 106(11): 3401–3438,由国际经济贸易系王永进老师、彭支伟老师、冯笑老师和杨嗣强老师跟进指导。
特别鸣谢
本次云鹰读书会由南开大学国际经济贸易系
系友苏武康博士赞助支持
00|摘要
这篇文章聚焦2008-2009年制造业贸易相对GDP大幅下降这一特征事实,通过构建多国动态一般均衡模型,并结合21国数据进行量化与反事实分析,探究了在全球经济衰退以及随后的经济复苏过程中影响全球经济活动的因素,该模型能够解释在不同的冲击类型下,贸易、投资、生产以及GDP的变动。本文研究发现,耐用品部门资本投资效率下降导致最终消费从可贸易部门转向不可贸易部门,是贸易相对GDP骤降的主要原因,而对交易成本、生产率和需求的冲击是次要因素。

01|引言
本文的背景是2008年发生的全球经济危机,其引发了GDP、贸易、生产、建造等经济活动指标的同时下降。但值得注意的是,全球贸易相对于GDP仍下降了20%。同时在部门与国家间,贸易受冲击的程度不尽相同。作者希望探究这一现象背后的原因。
本文研究的核心目标是,评估各种类型的冲击对经济衰退期贸易骤减的贡献程度。文章先建立理论模型,并通过对world planner视角下效用最大化问题的求解得到一系列均衡条件,该均衡条件解释了外部冲击与内生变量间的关系,即如何由给定冲击推得内生变量随之的变化,以及如何由内生变量的观察值推得当期冲击。随后作者对原始数据进行处理,得到所需变量在衰退期的观察值,借助上述均衡表达式完成量化,从而将衰退期各类冲击的数值分立地提取出来。随后,作者将得到的各类冲击重新组合进行反事实分析,从而确定了各类冲击在贸易衰退中的贡献程度。

该文章采用的模型是多部门一般均衡模型与多国真实商业经济模型的结合,包括耐用品、非耐用品、建筑、服务四大部门,其中服务是属于前三类部门之外产业的汇总。耐用品和非耐用品可贸易,建筑和服务不可贸易,另外耐用品和建筑可作为资本积累到下一期。本篇文章仅关注制造业的贸易,因为服务贸易的数据较难获得,而如石油等非制造品的贸易决定因素超出了本文的探讨范围。该模型的构建考虑了经济地缘、投入产出结构和资本积累等多重过程。
文章主要探究六种类型的冲击,分别是对贸易成本、部门生产率、资本投资效率、总需求、非耐用品需求、和就业的冲击。前三者是对技术的冲击,随后二者是对偏好的冲击,而最后一者是对禀赋的冲击。这六种类型的冲击均可以被可获得观测值的内生变量表示出来,从而可以通过真实观测值将该期冲击值分离出来。值得注意的是,虽然本文不研究服务贸易,但在真实数据中服务贸易实打实地存在,通过数据变换中获得服务贸易赤字的观测值,我们将其作为外生变量纳入模型,否则会引起偏差。从而,服务贸易赤字成为第七项冲击,尽管其在我们后续的分析中被证明作用不大。
本文所参考的文献分为两个方面,首先是对贸易衰退原因的研究。其中一部分研究将其归结于贸易壁垒的增加,包括贸易信用的收紧以及保护主义,另一部分研究将其归结于衰退对不同部门的影响的差异上,涉及国际垂直供应链的瓦解,以及消费在部门间的转移。作者指出,本文的结论验证了上述观点,因为经最终计算,贸易成本冲击能解释11%的贸易衰退,而对资本投资效率以及非耐用品需求的冲击分别能解释64%和18%,这两种冲击的结果都是消费从贸易部门转向非贸易部门,从而印证了上述观点。本文的独特的地方在于,对任一国家部门的任何给定的冲击都可模拟出该冲击下各经济变量的结果。另一部分参考文献是关于模型构建的方法,数量较多,大致分为三类:一是揭示某些冲击或变量在模型中的重要地位,二是由模型两国到多国,由静态到动态的演进,三是在真实商业循环模型中可借鉴的处理方法。
数据方面,本文数据包含20个国家以及Rest Of World,所研究的衰退期规定为2008年3季度至2009年2季度,复苏期为2009年2季度至2011年1季度。利用上述数据,作者做出了四张国家散点图。图A是衰退期生产与贸易的变化,揭示了生产与贸易变化的同向性,并可看出耐用品在生产与贸易的下降较非贸易品更明显。B图是复苏期的生产与贸易图,近似是是图A的镜像。图C呈现衰退和复苏期各国建筑与生产间的变动,可见在衰退期建造的下降幅度从未超过生产,并且在复苏期各国的建造并未明显恢复到原先水平。图D呈现衰退和复苏期名义与实际GDP的变化,大多数国家在衰退期实际GDP下降了3-6%, 中国是为数不多的例外,而名义GDP的变动更加极端,中国、日本、美国呈现最大的增长。

02|模型
2.1 模型的基础设定

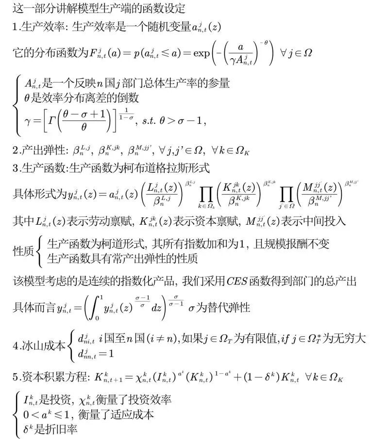
2.2 模型生产端的函数设定

2.3 模型需求端的函数设定

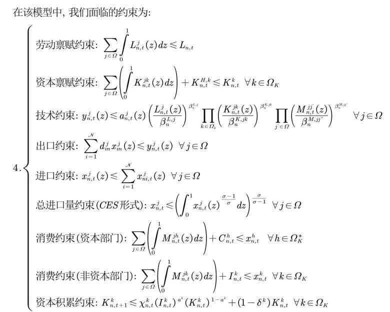
2.4 市场结构与规划者问题


2.5 模型求解






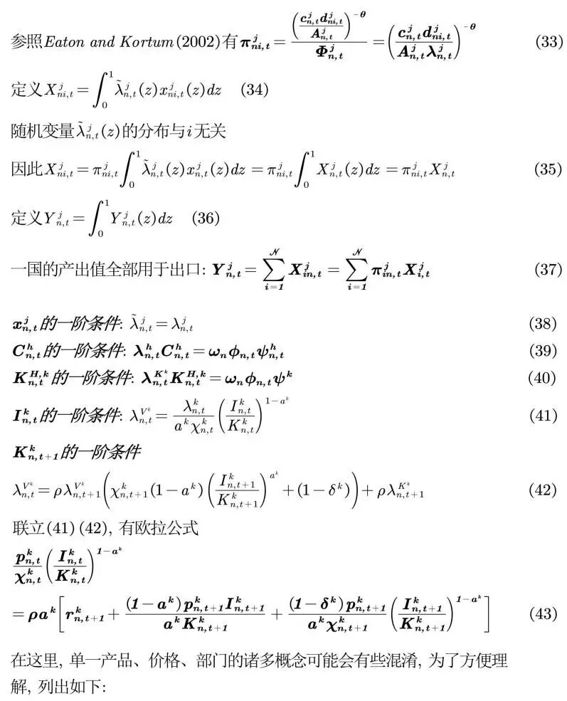
2.6 均衡方程组


2.7 变量

2.8 冲击以及冲击结果


03|数据处理
在进行量化过程之前,需要获取很多经济变量的观测值。本部分将展示原始数据的来源、如何利用变量间关系间接获得所需变量的观测值,以及如何将部分变量的观测值转化为我们需要的形式。
除非特殊说明,本文使用的数据都是以季度为一期,同时经过季节调整以去除季节因素的干扰,名义变量均以美元计价,这通过OECD月度汇率数据得以实现。尽管关心的时间段集中在08-11年,但本文获取数据的范围含盖了2000年一季度到2012年4季度,这是相关回归和迭代过程的需要。法国和中国06年前的数据有所缺失,因此计算06年前的全球变量需要先用06年前数据完整的国家数据计算季度增长率,然后用06年全球变量的数据根据这些增长率一步一步倒推,得到06年前的数据。
3.1 宏观变量的数据


3.2 制造业贸易的数据

3.3 制造业生产数据
首先我们需要各国各部门生产总值的季度数据,而可获得的仅有从OECD和UNIDO获取的年度数据,需要将年度数据分解为季度数据,这一过程称为temporal disaggregation,该过程是指由某变量的低频数据获取该变量高频数据的方法,中间需要用到该变量的一个或多个相关指标的高频数据作为辅助。本文选取高于市场平均指数IP和PPI的月度数据作为分解生产总值的辅助指标,基于Chow-Lin方法实现temporal disaggregation。针对Chow-Lin方法将年度数据与月度估计值的误差在年内均等分配导致的前一年末与后一年初断层的问题,文章采用Fernandez(1981)的方法进行完善。同时,文章结合Di Fonzo(2003)的研究,将生产总值与IP和PPI的关系处理为对数线性模型,而非线性模型。
各国IP和PPI月度数据的呈现形式主要有三种,一类国家的数据恰好是按类似本文中耐用品和非耐用品的定义分两类呈现,我们可以直接使用;另一类国家IP和PPI的数据是分资本品、耐用消费品、非耐用消费品和中间品四类呈现,对于这类国家,我们首先需要通过一个回归过程将中间品分为耐用中间品和非耐用中间品,这一回归的过程将中间品IP和PPI数据与可获得的两位数具体商品的相应数据进行回归,回归系数决定了该类商品在中间品指数中所占的比例。随后我们按这五类生产进行temporal disaggregation,最后再相应地加总为耐用品和非耐用品。对于第三类国家,我们只有其整体的IP和PPI数据以及具体商品分类的数据,我们同样利用上述回归过程将其拆解为耐用品和非耐用品,只是被解释变量从中间品指数变成了整体生产的指数。
从而我们获得了各国可贸易各部门生产总值,从而容易得到各国总吸收、花在国内厂商的支出、双边贸易份额的观测值(过程如下表所示),同时通过PPI我们能够得到各部门价格指数及其变化。

3.4 制造业数据


3.5 服务业数据


04|量化
在本节中,我们将从事实分析和反事实分析两个角度量化文中的动态模型。
4.1 基本思路

4.2 参数校准


4.3 计算准备


4.4 量化求解



05 | 量化冲击结果
5.1 Values of shocks




5.2 Forces at Work in the Recession and Recovery
全球衰退的一个特征是贸易和制造业生产的大范围崩溃,另外一个特征是GDP在世界范围内的重组。
从全球来看,经济衰退经历的最大冲击是耐用品投资效率下降和对非耐用品需求下降,二者下降幅度均为22.8%。这两个冲击降低了对应部门的投资,投资从贸易部门转向非贸易部门,进而导致贸易和制造业生产下降。
06|反事实分析
6.1 Computation
我们假设欧拉方程(21)适用于2008年第三季度以后,但是不适用于2008年第二季度到第三季度。
6.2 Global Trade
图4展示了所有冲击下形成的真实数据和在不同的单个冲击下进行反事实分析下得到的模拟数据。
从图4中可以发现,在衰退期间,耐用品的投资效率冲击反事实分析结果和真实数据拟合程度最高,可以推断出耐用品的投资效率的负面冲击是2008年第三季度到2009年第二季度贸易崩溃的主要驱动因素,非耐用品需求负面冲击和贸易摩擦加剧也可以部分解释衰退期间的贸易崩溃,而其余因素几乎不发挥作用。

表5数据显示,更加量化来看,在衰退期间贸易减少20.5%,耐用品的投资效率冲击、非耐用品需求冲击和贸易摩擦冲击分别可以解释13.2%、3.6%和2.3%的贸易下跌,分别占全部下跌幅度的65%、18%和11%。

表A.5显示,在复苏期间,全球贸易增长21.8%,其中贸易摩擦冲击、耐用品的投资效率冲击和非耐用品需求冲击带来的贸易增长分别为10.8%、6.9%和2.4%。因此,贸易摩擦冲击是复苏时期推动贸易逆转的主要因素。

6.3 Country-Level Results by Type of Shock
在这一节中,我们重点关注在衰退期间不同冲击在不同国家间的异质性,并分别讨论不同类型冲击对贸易、制造业生产、相对GDP、贸易/GDP和实际GDP的影响效果。
6.3.1 贸易
从图5可直观看出,只有耐用品投资效率与贸易下降具有明显的相关关系,这与上一部分的分析相符。

但是不同国家贸易在面对不同冲击时反应程度不一样,如表5所示,在中国和印度,耐用品投资效率和贸易摩擦对贸易下降几乎具有相等的解释力。

6.3.2 制造业生产
从图6可直观看出,只有耐用品投资效率与制造业生产下降具有明显的相关关系,但是在具体国家层面,耐用品投资效率并不能完美解释各国制造业生产变化,例如:在中国和印度,虽然耐用品投资效率下降,但是制造业(耐用品和非耐用品)生产率大幅提高推动制造业生产增长。


6.3.3 相对GDP
从图7可直观看出,只有总需求冲击与相对GDP变化具有明显的相关关系,而其余因素作用效果不显著。但是在具体国家层面,总需求冲击并不能完美解释各国相对GDP生产变化,例如:在中国和印度,最主要推动相对GDP提高的因素是制造业生产率的提高,而非总需求冲击。值得注意的是,在衰退期间,印度总需求冲击甚至下降,不仅无助于解释相对GDP变化,而且与相对GDP提高产生相反效果。


6.3.4 贸易/GDP:
图8提供了各国只受耐用品投资效率冲击、需求冲击的反事实分析结果与真实数据的散点图,散点基本落于45°线附近,拟合效果很好,说明这些冲击能够解释大部分下降和跨国差异。

6.3.5 实际GDP
图9提供了各国只受制造业生产效率冲击、劳动力供给冲击的反事实分析结果与真实数据的散点图,散点密集地落于45°线上,拟合效果非常好,因此制造业生产效率冲击和劳动力供给冲击是导致实际GDP变化的主要因素。

表A.4提供了更加量化的结果,由数据可知,制造业生产率冲击和劳动力供给冲击有助于解释71.88%和9.38%的实际GDP下降。

6.4 Cross-Border Transmission of Shocks
6.4.1 美国
考虑一个反事实:只有美国经历了冲击,世界上其他国家不接受冲击,服务赤字被固定在衰退前水平。结果显示,仅有美国的冲击会导致世界贸易下降3.6%,制造业生产下降2.9%,这部分的下降份额比美国经济体在世界贸易和经济体中的份额多50%,体现了仅有美国的冲击对世界贸易的影响的放大效果。
图10提供了仅有美国面对冲击的反事实分析结果,美国进口和制造业生产减少,主要原因是来自耐用品投资效率下降和非耐用品需求下降。在不考虑其他国家需求下降的情况下,面板B展示了美国出口会大幅增加,同时还伴随对墨西哥和加拿大出口的大幅挤出。美国冲击会提高美国实际GDP,而对其他国家实际GDP变化基本没有影响。

6.4.2 德国
考虑一个反事实:除了德国之外,世界上其他国家都经历了冲击。图11提供了反事实分析结果和真实数据的散点图,可以看出散点完美落在45°线附近很窄区间内,拟合效果很好,说明德国受到的其他国家的冲击能够很大程度上解释国内各项指标的变动。

美国由于其在世界经济中独特的地位,仅有美国的冲击辐射到其它国家是易于理解的,而德国作为世界上的贸易大国和少数几个贸易顺差国家,其广泛参与世界贸易,因此也更容易受到其它国家冲击的影响。
07|结论
本文讨论了各种在衰退期间,可能导致全球贸易崩溃和制造业生产下降的因素,采用量化形式剥离各类因素的影响效果,并采用反事实分析得出结论:耐用品投资效率下降是导致全球贸易崩溃和制造业生产下降的主要驱动力。在此基础上,论文进一步利用美国和德国的反事实分析,说明更加频繁和密切参与国际贸易的国家更容易受到外部冲击的影响。
参考文献
[1] James A. Brander and Paul Krugman (1983): A 'Reciprocal Dumping' Model of International Trade.
[2] Kehoe, T., K. Ruhl, and J. Steinberg (2014): “Global Imbalances and Structural Changein the United States,”
[3] Lars Ljungqvist and J. Thomas J. Sargent (2015): Recursive Macroeconomic Theory.
文稿:王天健 张益霖 李依霖 张曼琪
编辑:冯双婷 程一然
审校:冯笑
2023年1月16日
