云鹰读书会2023第8期(总第135期)
2023-03-192022年3月3日下午,南开大学经济学院云鹰读书会在圆阶305教室“数字经济与贸易科研训练:理论”课堂上顺利进行,本次读书会由2021级本科生葛正、刘俊杰同学展示Paul M. Romer的论文“Endogenous Technological Change”, 1990,由国际经济贸易系何秋谷老师跟进指导,助教郑佳豪提供答疑。
特别鸣谢
本次云鹰读书会由南开大学国际经济贸易系
系友苏武康博士赞助支持

00|摘要
经济增长来自技术进步,技术进步又源自于企业基于利润最大化目标进行的投资。技术与其他投入品相比,有显著的区别:既非传统商品也不是公共物品。它是一种非竞争性(容易共享的)、且部分排他性(受法律保护)的物品。因为非竞争性特征带来的非凸性(技术投入带来生产力上升,而非单纯的产品数量增加),完全竞争的假定不能成立(仅在给定生产力情况下成立)。因此,均衡是垄断竞争的。主要结论是,人力资本存量决定了增长率,融入世界市场将增加增长率,单纯的人口数量增长并不足以引起经济增长。
01|引言
笔者所在的美国的人均生产力在一百年内提高了十倍。这种增长被认为源自于有效劳动力和有效资本存量的增长。同时,技术进步也是极其重要的。虽然人类所使用的原材料本质上没有变化,但是实验、探索、改进和科学调查使得我们对原材料的组合更加复杂。比如,一百年前,我们仅仅能用氧化铁提取染料,如今我们将其用于磁带,录像,这改善了我们的生活。
本文的论点建立在三个假设上,第一,技术变革,是对原材料组合的改进,这是经济增长的核心。第二,技术变革来源于经济主体追求利润的市场行为,这一点被之前的文献所忽视,也是此文的贡献。第三,技术作为一种投入在本质上不同于传统产品:传统投入是作为一种可变成本,而技术投入是固定成本,一旦研发成功便可以没有额外成本的分享和使用。
02|竞争性、排他性和非凸性
研究财政学的经济学家定义了商品的两个基本特征:竞争性和排他性。竞争性是一种纯粹的物质特质:一个竞争性的商品由于其本身有限的实体,一个人对它的使用会妨碍别人的使用,举例来说,一个香皂同时不能被两个人使用。排他性,既有这种实体属性也具备法律属性:如果一个物品的所有者可以阻止别人使用它,就可以说它是排他的,举例来说,专利被法律保护因为具有排他性。
传统的商品既有竞争性也有排他性。他们的产权被私人拥有,在完全竞争市场上交易。公共物品被定义为既没有竞争性也没有排他性的物品。因为没有排他性,他们不能被私人提供或在市场上交易。如果假定有政府可以补偿公共物品的这种外部性,那么公共物品可以被引入到完全竞争市场中。以基础科学研究为例,由于可以广泛的被使用也不适合被法律保护,因此追逐利润的企业不愿意对此类研究进行投入。政府提供利用税收为此类研究的学者提供经费。
非竞争性对这个增长理论有两个重要的含义,第一,非竞争性物品可以无限积累,然而,人力资本却不行。每个人只有有限的时间用来获取技能。当这个人去世,他掌握的技能就丢失了,但是这个人创造的非竞争性物品,比如科学定理、数学公式、工程、软件、专利、绘画等可以永恒存在。第二,将知识看作非竞争性物品,使得讨论知识外溢是合理的,也就是不完全排他的。知识的这两个特征---可以无限的积累和不完全的专属权,是它在经济增长理论中被广泛认可的特征。关于非竞争性的思考与技术本身的非凸性(技术进步后,生产力上升)有着必然的联系。

以前的经济增长模型使用各种方法避免这个困难。Solow将视作外生决定的,也就是公共产品(非竞争性和非排他性),Shell(1966,1967)将视作政府提供的公共产品。在每一种情形下,作为一种投入并没有得到补偿,每一个私人公司可以自由使用所有的的存量。这些假设同本文在前言中提出的第二个假设矛盾。
在一次使技术进步是市场激励的结果的尝试中,Arrow(1962a)假定,“干中学”在资本积累的同时,技术同水平的增长,但他依然将知识作为一种公共产品。Lucas(1988)进一步假定,人力资本的产生而不是实物资本的积累,导致这种非竞争性,非排他性产品的增长。所有这些文章都没有将这种非竞争性、非排他性投入的增长视作有意的市场行为。
惟一去接受在引言中介绍的三个假设的方式,是回到Schumpeter(1942)的建议:正式的引入市场支配能力。Shell(1973)描述了只有一个垄断厂商的模型,这个厂商投资于研发部门,但一个厂商的设定并不符合现实。Romer(1987)展示了一个企业具备市场支配力,并且允许多个公司自由进出的模型。这个模型依赖于垄断竞争(Dixit and Stigliz,1977; Judd, 1985; Grossman and Helpman 1989c)。这种设定根本上不同于Romer早期的模型:强调了人力资本在科研过程的重要性。早期的模型表现了市场的规模是经济增长率重要的决定方面。此文的分析表现了对于市场规模正确的度量并不来自人口的数量,而是人力资本。
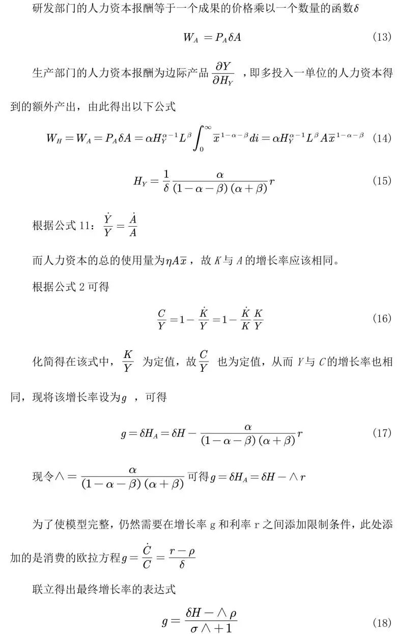
03|模型的描述





04|平衡增长条件下的模型求解



05|结果的解释和福利性质


06|结论
Romer在本文中提出的模型,本质上是带有技术变化的单部门新古典主义模型,着重强调对技术变化的来源的内源性解释。
Romer针对于这种区别用于研究和生产的人力资本的模式,得出了三个关键结论
第一,由于研究项目用当前成本换取未来的收益,所以研究投入量对利率很敏感,这导致技术变化率受利率影响很大。
第二,虽然研究成果体现在物质资本上,但对物质资本的补贴并不是一个好的政策。如果缺乏可行的政策来消除社会评价和私人研究投入之间的差距,那么给予研究部门的直接补贴才是最好的策略。
第三,自由国际贸易可以加速经济增长,同时一个拥有更多的总人力资本存量的国家经济增长将更加迅速。
参考文献
[1] Romer, Paul M. Endogenous technological change. Journal of political Economy 98, no. 5, Part 2 (1990): S71-S102
下期预告
时间:2022年3月10日下午18:30-21:05
地点:南开大学八里台校区经济学院圆阶305教室
论文:
Romer, Paul “Idea gap and object gaps in economic development” Journal of monetary economics 32, no. 3(1993): 543-573
文稿:刘俊杰 葛正
编辑:冯双婷 程一然
审校:何秋谷
2023年3月19日
