云鹰读书会2022第28期(总第155期)
2023-06-272022年4月28日下午,南开大学经济学院云鹰读书会在圆阶305教室“数字经济与贸易科研训练:理论”课堂上顺利进行,本次读书会由2021级本科生崔艺扬,任桂苹同学展示Charles I. Jones 于Christopher Tonetti的发表在American Economic Review的论文“Nonrivalry and the Economics of Data”, 2020,由国际经济贸易系 何秋谷 老师跟进指导,助教郑佳豪提供答疑。
特别鸣谢
本次云鹰读书会由南开大学国际经济贸易系
系友苏武康博士赞助支持
00|摘要
数据是非竞争性的:一个人的定位记录、医疗记录和驾驶数据可以被许多公司同时使用。非竞争性导致规模报酬递增。因此,即使在存在对隐私泄露的顾虑,数据广泛的被诸多公司使用也可能带来社会利益的增加。由于担心创造性的破坏,公司可能会选择不分享数据,从而导致数据的被使用的效率低下。赋予消费者数据产权可以产生接近最优的分配。消费者平衡了他们对隐私泄露的担忧和广泛销售数据所带来的经济收益。

01|理论分析
1.1 理论研究分析
近年来,数据在经济中的重要性变得越来越明显。更强大的计算机和以机器学习为代表的算法的进步导致了数据用途的爆炸式增长,例如自动驾驶汽车、实时语言翻译、医疗诊断、产品推荐和社交网络。
本文提出了一个研究数据的经济学特征的理论框架。我们特别感兴趣的是,不同的数据产权如何决定其在经济体中的使用,从而影响产出、隐私和消费者福利。我们分析的起点是观察到数据具备非竞争性。也就是说,在技术层面上,数据是无限可用的。考虑一下100万张贴有标签的图片,人类基因组,美国人口普查,或者由1万辆行驶1万英里的汽车生成的数据。任何数量的公司、人员或机器学习算法都可以同时使用这些数据,而不会减少其他人可用的数据量。
我们论文的关键发现是,与数据相关的政策具有重要的经济影响。当公司拥有数据时,他们可能不会充分尊重消费者的隐私。但非竞争性会导致其他不那么明显的后果。由于数据是非竞争性的,广泛使用数据可能获得巨大收益。数据市场提供了财务激励,促进了更广泛的使用,但如果销售数据增加了创造性破坏的速度,公司可能会不分享数据导致社会效率低下。
我们考虑的另一个分配方式是,政府——也许是出于对隐私的考虑,将严格限制公司使用消费者数据。虽然这一政策成功地保护了隐私权,但由于非竞争投入没有被大量的使用,它可能会产生更大的成本。
最后,我们考虑一种制度安排,其中消费者拥有与他们的行为相关的数据。然后,消费者平衡对隐私顾虑和出售数据带来的经济收益。这种平衡导致数据在公司中被广泛使用,利用了数据的非竞争性。在我们的数值示例中探索的广泛的参数值中,消费者的数据所有权产生的消费和福利远远优于公司所有权。
1.2 文献综述
“数据经济学”是一个新的但快速发展的领域。在本文中,我们提供了一个宏观的视角。由于我们强调非竞争性,我们的模型中数据的角色和增长文献中思想的角色有相似之处。与增长文献相比,我们的模型最显著的特征是:
(i)非竞争性商品的使用:我们模型中许多公司同时广泛使用数据;在Romer(1990)和Aghion和Howitt(1992)风格的模型中,每个公司使用一个单一的想法。
(ii)非竞争性商品市场:我们的设置包括市场,每个公司通过这个市场决定买卖的数据量;在基于想法的模型中,通常的发明公司自己生产或将单一的蓝图卖给单一的垄断生产商。
(iii)产权:在基于思想的模型中,思想的产权总是由公司持有;在我们的设置中,消费者和公司都可以持有数据所有权。
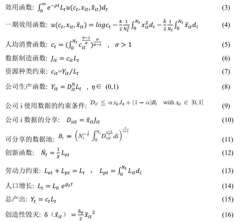
02|模型构建
2.1 简单模型



2.2 经济环境

2.3 最优分配




2.4 公司拥有数据



2.5 消费者拥有数据




2.6 非法数据销售

2.7 基础模型
2.7.1 隐私与数据销售

2.7.2 公司规模与公司数量


2.7.3 社会总产出与经济增长


2.7.4 数据与公司的产出

2.7.5 生产、利润与价格


2.7.6 数据的价值
2.7.7 效率

03|实证分析
3.1 参数的取值


3.2 福利分析

3.3 实证结果

04|讨论


05|结论
一,当公司拥有数据时,总会过度使用数据,并不会充分尊重消费者的隐私问题。
二,数据的非竞争性会给社会带来巨大的经济效益。
三,将数据的产权授予消费者会更加接近最优分配。若将数据产权授予公司,公司可能会由于担心创造性破坏而不愿出售数据。当然,消费者要平衡对隐私的保护和出售数据所带来的经济收益。
文稿:崔艺扬 任桂苹
编辑:冯双婷 程一然
审校:何秋谷
2023年6月27日
