云鹰读书会2023第31期(总第158期)
2023-09-132023年9月5日下午,南开大学经济学院云鹰读书会在圆阶305教室“数字经贸科研训练:实证”课堂上顺利进行,本次读书会由2021级本科生陈苑蓉、刘嘉骥同学展示经典论文Jonathan Eaton & Samuel Kortum的发表在Econometrica的论文Technology, Geography, and Trade,由国际经济贸易系张洁老师跟进指导,助教温洁提供答疑。
特别鸣谢
本次云鹰读书会由南开大学国际经济贸易系
系友苏武康博士赞助支持

01|引言
本文首先介绍了两个被过去国际贸易理论所忽视的基本事实。第一组事实包括:(1)随着两国之间的距离增加,它们之间的贸易量急剧减少;(2)相同商品在不同地区存在价格差异。这一组事实强调了地理因素在经济活动中的关键作用。第二组事实包括:(1)不同国家的生产要素报酬不平等;(2)各国在不同行业中具有不同的相对生产率。这一组事实强调了各国在生产商品时使用不同技术的差异。
然而,现有文献没有在同一个框架内同时考虑和研究贸易、技术和地理这三个因素。本文的作者构建并量化了一个基于技术差异的李嘉图模型,该模型能够考虑地理因素和国际贸易,展示了在一个由地理障碍分隔的多国世界中,促进贸易的比较优势和抑制贸易的地理壁垒之间相互竞争的力量。这些地理障碍可以是自然的,如运输成本,也可以是人为的,如关税、配额、延误和远程谈判协议等。此外,该模型还提供了与双边贸易额相关的表达式,可用于估计实现世界贸易均衡所需的参数。
通过分析1990年OECD的19个国家的制造业数据,作者发现各国的进口通常不超过其制造业支出的一半,并且大部分进口商品来自样本中的其他18个国家之一。在实证研究中,作者总结了四个反事实情景,涵盖了制造业贸易的收益、技术和地理对专业化模式的影响、贸易对不同距离和制造业规模的国家的影响以及关税削减的结果。
接下来的部分,模型部分详细阐述了以世界各地的投入成本为基础的贸易模式,并提供了将双边贸易、价格、地理壁垒、技术和投入成本联系起来的关系式。实证部分研究了贸易价格关系,并采用多种方法来估计其参数。最后,使用量化模型探索了上述反事实情景,为研究提供了深入的理论和实证基础。
02|EK模型(2002)
Eaton和Kortum指出,现实世界的国际贸易存在着如下四个典型事实:
1、两国间贸易量与两国间距离成反比;
2、同一个商品在不同国家间的价格差异巨大;
3、不同国家的要素报酬差距明显;
4、国家在不同行业间的相对生产率差异明显。
前两个事实可以认为是由现实世界的地理因素包括自然地理和人为障碍(如运输成本、关税、配额等)主导,后两个事实则归结于不同国家的技术差异问题(李嘉图模型的研究对象,强调各国生产率差异导致的绝对优势和比较优势)。
EK模型则创造性地在传统李嘉图模型的基础上将地理因素纳入其中,其推导出来的表达式与传统模型亦存在结构上的相似之处,并且在实证中也同样表现出色。
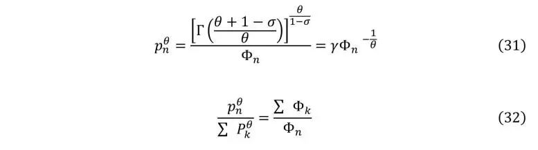
2.1 研究假设


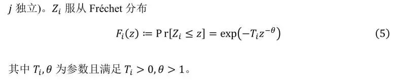
2.2 需求方面求解


2.3 供给方面求解





2.4 引力模型

2.5 贸易均衡模型







03|总结
通过对李嘉图模型进行拓展,EK模型重点关注了技术与地理因素对贸易模式的影响,发现在完全竞争和最终产品同质的假设条件下,一国的贸易流量和福利主要取决于其技术水平和面对贸易壁垒的大小。
EK模型的提出为学者们研究贸易自由化引致福利效应提供了基本的理论框架,引发了一系列的后续研究,例如,Chor(2010)利用扩展的EK模型提出了一种量化不同比较优势来源的方法,研究认为,国家特征、产业特征、要素禀赋差异和制度差异不仅决定了一国在某一产业的比较优势,而且还决定了国家和产业之间的专业化分工。Shikher(2012)最早将EK模型运用到产业层面以研究美欧贸易战的影响,结果发现各产业间主要通过中间品投入而发生联系,某一产业的价格变化会通过中间品投入而影响到其他产业的投入产出水平,并最终影响该产业的就业和福利水平。
Levchenko&Zhang(2014)考察了部门异质性在确定贸易福利中的作用,通过比较多部门模型与一部门模型对贸易收益估算的不同,发现多部门模型的估算结果要比一部门模型高30%左右,而一部门模型之所以低估贸易福利是由于其忽略了产业层面上的生产率差异。Caliendo&Parro(2015)首次将EK模型用于对自由贸易区的福利分析,通过将产业间联系、中间品贸易和生产部门异质性纳入李嘉图模型,研究关税变化对北美自由贸易协定(NAFTA)的贸易效应和福利效应的影响。研究发现,如果忽略中间品和投入产出之间的联系,会导致NAFTA的贸易效应和福利效应分别被低估40%和,为在EK模型下探讨自由贸易区利得提供了范本。
引力模型作为贸易理论和政策研究领域进行定量分析的主流工具,在理论基础和经验研究方面都取得了较大的突破和进展,但是不足的是,引力模型属于静态分析和事后分析,而且模型中存在与现实不符的假设条件限制,对于参数的测算只考虑劳动力作为唯一的生产要素,不考虑其他因素的影响,难免有一定的局限性。
EK模型在李嘉图模型的基础上,描述了在衡量贸易的潜在收益时,地理障碍对其产生的负作用和技术差异的比较优势对贸易收益的正向作用。针对贸易中存在的地理壁垒和技术差异等问题,EK模型引入了概率论的方法,展示了如何在一个多国的世界里,在满足任意贸易成本的条件下得到贸易引力方程和相关均衡的表达式。并且针对这些结果,使用双边贸易流量、价格和地理数据估计了模型平衡所需的参数和对政策的回应。在模型中国家间的技术差异是产生国际贸易的唯一驱动因素,这也证明了李嘉图引力模型的存在。总的来说,它不仅提供了一套简单框架模型化比较优势,同时也提供了一套概率工具来考虑资源配置和贸易的决定因素,允许地理障碍和技术来决定专业化,并将贸易流动与地理壁垒产生的对一价定律的偏离联系起来,是后续许多研究的基础。
下期预告
时间:2023年9月12日下午18:30-21:05
地点:南开大学八里台校区经济学院圆阶305教室
论文:
Melitz M J. The impact of trade on intra‐industry reallocations and aggregate industry productivity[J]. Econometrica, 2003, 71(6): 1695-1725.
敬请期待!
文稿:刘嘉骥 陈苑蓉
编辑:冯双婷 程一然
审校:张洁
2023年9月13日
