云鹰读书会2023第34期(总第161期)
2023-09-152023年9月11日上午,南开大学经济学院云鹰读书会在圆阶205教室“国际经济与贸易科研训练:实证”课堂上顺利进行,本次读书会由2021级本科生 刘永康、王汤阳同学展示Ralph Ossa的论文“A “New Trade” Theory of GATT/WTO Negotiations”, journal of political economy,由国际经济贸易系冯笑老师跟进指导。
特别鸣谢
本次云鹰读书会由南开大学国际经济贸易系
系友苏武康博士赞助支持
摘 要
本文以克鲁格曼的“新贸易”模型为基础,分别结合两国和三国模型,分析了互惠原则和非歧视原则下GATT/WTO谈判如何帮助政府内部化生产转移的外部性。通过结合双边贸易数据进行校准,作者论证了从本国福利最大化出发非合作关税存在的合理性以及从GATT/WTO谈判中获得的适度收益。

01|引言
自第二次世界大战结束以来,在关税及贸易总协定(GATT)及之后的世界贸易组织(WTO)对多边贸易谈判的推动下,国际贸易已经大幅自由化。虽然这些自由贸易的案例昭示着GATT/WTO的成功,但它也使我们思考一些问题。为什么各国需要就关税削减问题进行谈判?GATT/WTO的制度设计发挥了什么作用?
这些问题推动产生了GATT/WTO谈判的标准新古典理论。这一理论起源于Johnson1954,在Bagwell和Staiger(1999)中获得重要的发展,这一理论认为,关贸总协定/世贸组织的谈判有助于政府将贸易条款的外部性内部化。它还认为,这是关贸总协定/世贸组织谈判所能涉及的唯一贸易政策外部性。
尽管这一标准理论有很多优点,它也存在两个重要的局限性。首先,它预测关贸总协定/世贸组织的谈判应完全围绕贸易条件操纵问题展开,这是不符合实际的;其次,它基于传统的新古典主义贸易模型,难以进行定量分析。
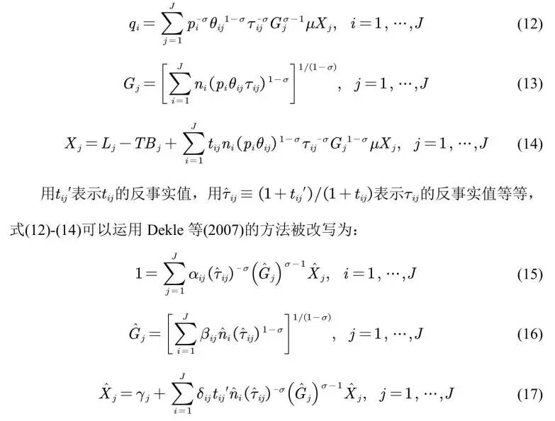
在本文中,作者提出一种不受这些标准理论限制的新理论,脱离了传统的古典贸易模型,建立在克鲁格曼(1980)的新贸易模型上。然后,作者运用Dekle(2007)中的方法对模型进行了实证分析。作者的主要观点就是每个国家都希望征收进口关税,试图吸引更多制造企业,这会使所有国家陷入囚徒困境。互惠和非歧视原则确保关税变化不再产生生产转移效应,从而帮助各国政府摆脱这一困境。一般来说,互惠原则是指关税的实质的等值的减让,关税的变化使贸易伙伴进口的变化保持一致;非歧视原则要求对任何给定的贸易产品必须对所有贸易伙伴使用相同关税。
02|基础模型
2.1 基础模型假设


2.2 给定贸易政策的解


2.3 生产转移效应和进口价格效应

2.4 不合作的贸易政策


2.5 GATT/ WTO下的贸易政策:互惠原则


03|扩展模型
3.1 扩展模型假设

3.2 GATT/ WTO下的贸易政策:非歧视原则


04|实证分析
4.1 假定与模型的解


4.2 两个贸易集团


4.3 七个贸易集团




05|结论
作者以Krugman(1980)新贸易模型为基础建立了一个新的模型,不同于贸易条件理论,这个理论强调了国际生产转移效应并且很容易应用双边贸易数据进行精确估计。通过关注GATT/WTO的主要参与国,这个理论暗示了合理的非合作关税以及从GATT/WTO谈判中获得适当的利益的方法。这为类似国家之间的GATT / WTO谈判提供了新的思路。这也凸显了一种不同于贸易条件外部性的生产转移外部性。
在GATT / WTO谈判的新古典理论背景下提出的许多论点,都可以在这种新的GATT / WTO谈判的贸易理论背景下重新讨论。未来可以将政治经济力量,国内生产补贴即不同国家采取的产业政策以及劳工和环境标准等因素考虑进这个理论进行进一步研究。
参考文献
[1] Boumellassa, Houssein, David Laborde, and Christina Mitaritonna. 2009. “A Picture of Tariff Protection across the World in 2004.” Discussion Paper no. 00903, Internat. Food Policy Res. Inst., Washington, DC.
[2] Dam, Kenneth W., The GATT: Law and International Economic Organization, Chicago: University of Chicago Press, 1970.
[3] Dekle, Robert, Jonathan Eaton, and Samuel S. Kortum. 2007. “Unbalanced Trade.” A.E.R. Papers and Proc. 97 (2): 351–55.
[4] Krugman, Paul. 1980. “Scale Economies, Product Differentiation, and the Pattern of Trade.” A.E.R. 70 (5): 950–59.
下期预告
时间:2023年9月18日下午18:30-21:05
地点:南开大学八里台校区经济学院圆阶205教室
论文:
Melitz (2003):The Impact of Trade on Intra-Industry Reallocations and Aggregate Industry Productivity.
敬请期待!
文稿:王汤阳 刘永康
编辑:冯双婷 程一然
审校:冯 笑
2023年9月15日
