云鹰读书会2023第35期(总第162期)
2023-09-212023年9月12日晚,南开大学经济学院云鹰读书会在圆阶305教室“数字经贸科研训练:实证”课堂上顺利进行,本次读书会由21级本科生李心蔚、左静平同学展示MARC J. MELITZ的论文“The Impact of Trade on Intra-Industry Reallocations and Aggregate Industry Productivity”,由国际经济贸易系张洁老师跟进指导。
特别鸣谢
本次云鹰读书会由南开大学国际经济贸易系
系友苏武康博士赞助支持
摘要
本文一方面将Hopenhayn动态产业模型应用于垄断竞争框架的一般均衡模型,另一方面在克鲁格曼1980年的贸易模型基础上纳入了企业层面生产率差异。运用包含异质性企业的动态产业模型来分析贸易如何影响产业内资源再配置和总体生产率。该模型发现,高生产率企业同时在国内和出口市场销售,生产率稍低的企业只供应国内市场,而生产率最低的企业则退出市场。同时,随着贸易自由化程度加深,企业间的再分配导致资源向生产率更高的企业转移。
目录
1.引言
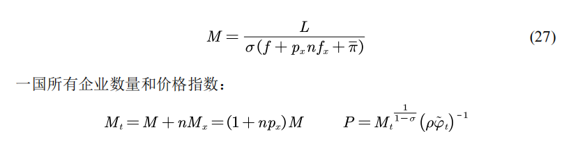
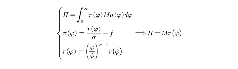
2.模型构建
3.企业的进出
4.封闭经济中的均衡
5.开放经济模型的假设
6.开放经济中的均衡
7.贸易的影响
8.贸易自由化的影响
9.结论
1.引言
本文一方面将Hopenhayn动态产业模型应用于垄断竞争框架的一般均衡模型,另一方面在克鲁格曼1980年的贸易模型基础上纳入了企业层面生产率差异。该论文基于如下5个基本事实:
1.企业生产率具有异质性。
2.对于出口来说,固定成本很重要。
3.在任何一个给定的行业内部,生产率更高的企业更易出口。
4.贸易自由化会引致行业内资源的再分配。
5.再分配与生产率、企业的出口状态有关。
前两个事实在本文中作为模型假设,后三个事实为本文的结论。
2.模型构建




3.企业的进出


4.封闭经济中的均衡



5.开放经济模型的假设

6. 开放经济中的均衡





7. 贸易的影响



8. 贸易自由化的影响

9. 结论
一方面,本文最有力的结论之一是,贸易开放导致了福利增加。另一方面,本文显示了企业成本如何显著影响贸易利益在企业之间的分配。事实上,只有一部分生产率更高的企业通过增加市场份额和利润从贸易中获益,较低的企业两者皆失。贸易开放迫使效率最低的企业退出该行业,这些由贸易引起的资源向生产率更高企业的重新配置解释了为什么贸易可能使总体生产率提高,而不一定提高个别企业的生产率。
参考文献
[1] Krugman, Paul. Scale economies, product differentiation, and the pattern of trade. The American Economic Review 70.5 (1980): 950-959.
[2] Hopenhayn, Hugo A. Entry, exit, and firm dynamics in long run equilibrium. Econometrica: Journal of the Econometric Society (1992): 1127-1150.
下期预告
时间:2023年9月19日晚上18:30-21:05
地点:南开大学八里台校区经济学院圆阶305教室
论文:
Melitz M J, Ottaviano G I P. Market size, trade, and productivity[J]. The Review of Economic Studies, 2008, 75(1): 295-316.
敬请期待!
文稿:李心蔚 左静平
编辑:吕宸慧 程一然
审校:张洁
2023年9月21日
