云鹰读书会2023第39期(总第166期)
2023-10-182023年9月26日晚,南开大学经济学院云鹰读书会在圆阶305教室“数字经贸科研训练:实证”课堂上顺利进行,本次读书会由21级本科生金仕坤、刘俊杰同学展示LORENZO CALIENDO AND FERNANDO PARRO的论文“Estimates of the Trade and Welfare Effects of NAFTA”,由国际经济贸易系张洁老师跟进指导。
特别鸣谢
本次云鹰读书会由南开大学国际经济贸易系
系友苏武康博士赞助支持
摘 要
本文将部门间的投入产出关联、中间品贸易和不同部门生产效率的异质性引入李嘉图模型来量化关税对贸易和福利的影响,并从理论上分解了关税影响福利的两种效应,贸易条件效应和贸易量效应。与此同时,本文使用投入产出表数据对模型中的外生参数进行校准,并提出了一种估计部门间贸易弹性的新方法,运用本文的理论模型以及所估算出的外生参数来分析北美自由贸易区的关税减让的影响,最终发现美国、墨西哥福利上升而加拿大福利下降,三国区域内贸易都有不同程度增加。

01|绪论
本文在Eaton 和 Kortum(2002)的基础上考虑了中间投入品和部门间投入产出关联,构建了更贴近现实的模型。本文强调了中间产品和部门间投入产出关联的重要性,研究发现,当不考虑中间产品和部门间投入产出关联时,关税减让福利效应有所缩减。此外,该模型也是 Eaton 和 Kortum(2002)结构模型的一个拓展范例,在引入部门间投入产出关联后,运用“exact hat algebra”方法来探究冲击的变化对福利和贸易的影响,并提供了完整且详细的一般均衡求解步骤,方便读者进行学习、参考。
部门和国家间彼此联系是本文的基本观点。当美国对墨西哥某部门减让关税时,该政策不仅会影响该部门的价格,也会影响其他部门的价格,当不可贸易部门使用贸易部门的产品时,关税减让也会影响不可贸易部门的价格,同时,如果不可贸易部门的产品被使用到其他商品的生产中去,那么这种福利影响将传导至整个经济体。由此,本文在 Eaton 和 Kortum(2002)模型的基础上,考虑国家和部门间的中间投入品以及部门间替代弹性,并且允许不同国家间进行中间产品的运输与贸易,保证各国的贸易动机是以最低价采购产品,然后基于该模型考察北美自由贸易协定对贸易和福利的影响。选定北美自由贸易协定作为研究对象具有独特意义:其一,在人口与 GDP上,北美自贸区是全球体量最大的自贸区;其二,区域内部门的产业结构差异巨大;其三,该协议催生了跨国的生产链条。通过分析研究发现:首先,北美自由贸易协定的关税削减对其成员国的经济产生了相当大的影响,使成员国的贸易总额都有不同程度的增加,同时,北美自由贸易协定增加了墨西哥出口活动的部门专业化,降低了加拿大和美国出口活动的部门集中度;其次,并非所有国家都从北美自由贸易协定中获益,墨西哥和美国的福利指数上升,而加拿大的福利指数则下降,但所有成员国的实际工资都有所增长,且贸易创造效应大于贸易转移效应;最后,在单部门结构下,或生产结构不考虑中间产品或投入产出联系时,关税削减带来的福利效应会降低,我们的研究结果强调了部门异质性、中间产品和部门联系对量化关税削减带来的福利收益的重要性。
本文的剩余部分结构如下:第二节介绍了理论模型,本质上是 Eaton 和 Kortum(2002)模型的一个拓展,在此基础上考虑了部门间投入产出关联。第三节估计贸易弹性。第四节量化北美自由贸易协定的贸易和福利影响。第五节为研究结论。
02|理论模型
本文建立了一个引入了中间商品、部门异质性和投入产出联系的一般均衡模型,该模型以 Eaton 和 Kortum(2002)的李嘉图模型为基础。假设:(1)有多个国家多个部门,我们用i、n表示国家,用j、k表示部门;(2)有两类部门——可贸易的和不可贸易的,一种投入品—劳动力;(3)所有市场完全竞争,劳动要素可以在部门间转移但不可以在国家间转移。我们也将引入一个概念——循环生产,即每个部门所生产的中间商品将组合形成一种“复合中间产品”,从而投入到每个部门的生产中去,这种产品既可以作为最终产品进行消费,也可以作为生产原料,下图为循环生产示意图:

2.1 生产与消费


2.2 支出比例

2.3 贸易平衡


2.4 劳动力收入

2.5 福利分析


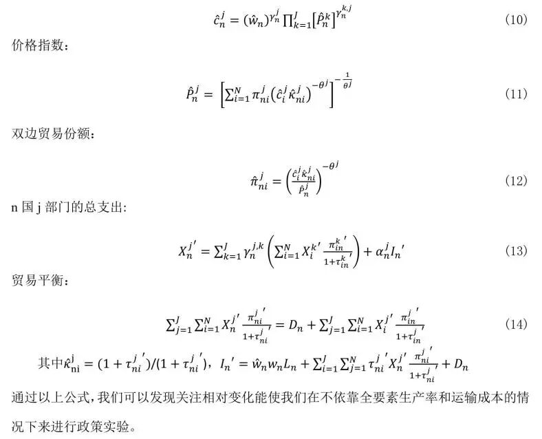
2.6 模型计算

03|贸易弹性


04|量化北美自由贸易协定的贸易和福利影响
本节将评估NAFTA引起的关税结构变化对贸易和福利的影响。将NAFTA生效的前一年即1993年作为基准年,使用不同来源的数据将模型校准到1993年。在获得可靠的关税、生产和贸易流数据的条件下,最大限度地增加样本中包含的国家数量。我们最终得到了N =31(30个国家和世界其他地区)的样本,以及40部门(20个可贸易和20个不可贸易即服务部门)。需要注意的是贸易逆差是模型的外生参数,我们需要定义零贸易赤字。
接下来我们衡量NAFTA三个成员国的福利变化,并且从成员国间的贸易状况、NAFTA内部与外部的贸易状况,三个成员国的不同行业贸易状况三个角度分析,并且设立两个反事实实验:1、衡量NAFTA在不改变世界其他关税结构的条件下造成的福利影响;2、不包括NAFTA关税变动的条件下全球关税减免造成的福利影响,并依次分析得出NAFTA对于成员国、对于全球经济体、对于不同行业的影响。
05|总结
本研究建立了一个一般均衡模型来量化关税变化的贸易和福利影响。
该模型能够对任意数量的国家进行复杂的贸易政策评估。利用该模型,我们分解了关税下降影响收益和福利的的不同渠道。通过该论文我们可以得出很重要的结论:部门间投入产出关联是非常重要的,并且对其福利影响进行量化分析是可行的。
通过该模型,可以量化降低或提高关税或国内外关税削减对一国价格指数、消费者实际收入、福利以及影响福利的两种效应贸易条件效应和贸易量效应的影响。
文稿:金仕坤 刘俊杰
编辑:冯双婷 程一然
审校:张 洁
2023年10月18日
