云鹰读书会2023第55期(总第182期)
2024-01-092023年11月21日下午,南开大学经济学院云鹰读书会在圆阶305教室“数字经济与贸易科研训练:实证”课堂上顺利进行,本次读书会由2021级本科生巩梓涵、张迪睿同学展示Lin Ma, Yang Tang于2020年发表在Journal of Urban Economics的论文“Geography, trade,and internal migration in China ”,由国际经济贸易系张洁老师跟进指导。
特别鸣谢
本次云鹰读书会由南开大学国际经济贸易系
系友苏武康博士赞助支持
摘 要
本文构造了一个包含劳动力内生迁移的一般均衡模型,使用来自279个地级市的数据进行结构性估计,定量研究了中国城市间迁移对目的地福利的影响。结果表明,在2000年到2005年期间,劳动力流入尽管会导致流入地的拥堵和名义工资的下降,但会提高当地的福利。同时,迁移对流入地的积极影响主要取决于内生的企业进入,会通过城市间贸易溢出到周边城市,使得周边城市获得比人口流入地更高的福利。此外,本文也表明进一步放松中国特大城市的户口政策有利于改善流入地居民的福利。
目录
一、引言
二、模型
三、量化
四、定量结果
五、扩展和稳健性检验
六、结论
01|引言
本文构建了一个包含劳动力内生迁移决策的一般均衡模型,探究人口迁移对迁入城市的影响。在本模型中,个人选择地点取决于实际工资和拥堵负效用、始发地-目的地迁移壁垒和特殊偏好。工人的流入对当地福利的影响是双向的,一方面,人口迁移通过压低当地工资和增加拥堵负效用降低当地福利;另一方面,人口迁移抑制生产成本并吸引更多的企业进入,通过降低当地商品市场的价格水平来促进当地福利。
本文分两步将模型量化到中国279个地级市:第一步,将中国地图出版社提供的公路、铁路和水路数据数字化,并根据Allen and Arkolakis(2014)的研究估算货物和人口的国内迁移壁垒;第二步,使用模拟矩方法(SMM)联合估计其他参数。本文发现人口迁移对当地的影响是正向的,所有的目的地城市从人口流入中获利,其背后的关键机制为企业进入和退出。每个城市中企业数量由自由进出条件内生决定,工人的流入一方面降低工资,另一方面提高本地商品市场的需求,这两方面同时促进企业的进入并增加他们的预期收益。在评估了迁移对迁入地的影响后,本文将重点放在最大的城市,评估了特定城市移民壁垒的影响。与全国平均水平相比,人口最多的城市确实设置了额外的迁移壁垒。最后文章也展示了城市间迁移通过降低当地工资,促进企业进一步成长放大了国际贸易的福利收益。
本文与中国劳动力迁移的文献密切相关,与本文最为相关的文献是Tombe and Zhu(2019)和Fan(2015)。Tombe and Zhu(2019)以及Fan(2015)都建立在Eaton and Kortum(2002)贸易模型的基础上,该模型不考虑企业的进入和退出,而本文基于允许企业进入和退出的Melitz(2003)框架,讨论了各地劳动力迁移伴随着企业进入和退出,若本文不考虑企业进入,则又回到了Tombe和Zhu(2019)的结果,即目的地地区受到移民的负面影响。本文的第二个主要区别是引入了中国的交通网络。Tombe and Zhu(2019)专注于省级分析,没有将交通网络引入模型中。Fan(2015)仅使用城市到城市的距离作为衡量迁移成本的指标,而本文表明,移民对当地的影响也取决于城市在交通网络上的相对位置。本文与现有研究的区别:忽略汇款影响;直接估计移民摩擦;使用PSO算法。另外,本文与研究中国经济的文献也密切相关,并表明,减少劳动力流动摩擦将使沿海城市更好地从国际贸易中受益,并从贸易和移民中获益。
02|模型
2.1 模型设定

2.2 效用函数


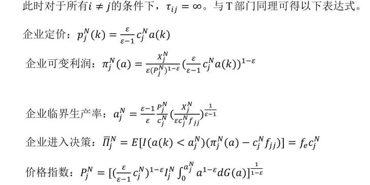
2.3 企业问题
2.3.1 简单介绍

2.3.2 需求侧

2.3.3 生产侧


2.3.4 企业进入和退出

2.4 企业问题的求解

2.4.1 城市i中的价格和利润


2.4.2 出口和总利润

2.4.3 进入决策


2.4.4 N部门

2.5 迁移问题


2.6 基础假设

03|量化
本文将该模型量化为279个中国城市加上一个代表世界其他地区的位置(ROW)。所有280个地点都可以相互贸易。个人可以在受到摩擦的279个中国城市中迁移,但不能在中国和ROW之间迁移。在本节的其余部分中,我们首先概述了中国境内以及中国与ROW之间的地理结构估计,然后描述了与人口分布和双边移民流动相关的参数估计的实证问题。最后,我们将地理结构和人口数据结合,对模型的参数进行校准和估计。
3.1 估计地理成本
3.1.1 中国的地理



3.1.2 中国和世界之间的地理距离

3.2 人口和迁移


3.3 量化结构参数

3.3.1 校准


3.3.2 估计





3.4 模型拟合

04|定量结果
这一部分讨论我们得到的量化结果。首先,我们分析了人口迁移对当地和国家的影响。然后,我们关注四个一线城市,并利用反事实分析得到当前政策壁垒的影响。最后,我们研究了人口迁移与国内和国际贸易自由化的相互作用。
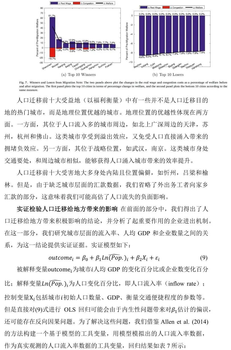
4.1 人口迁移对地方的影响





4.2 人口迁移障碍和最优城市规模



4.3 人口迁移和贸易




05|扩展和稳健性检验
5.1 生产外部性和城市特定的生产率


5.2 结果


06|结论
本文表明中国人口迁移给人口流入地带来积极影响。为此,我们扩展了一个内生企业进入和人口迁移决策的一般均衡贸易框架。定量结果表明:第一,尽管存在拥挤负效应,但所有人口流入地都从人口流入中获益。其推动力是企业进入的扩展边际,如果没有这一点,人口涌入将降低目的地城市的实际工资和福利。第二,地理位置在塑造人口迁移的影响方面也起着重要作用。受益最多的并不完全是人口流入最多的“一线”城市,而是那些最大程度靠近国家市场或具有最佳市场准入的城市。通过国内贸易,这些城市享受了“一线”城市的生产力增长,但受人口涌入带来负效应比“一线”城市更小。第三,本文还考虑了现实世界的交通基础设施建设,补充了迁移的地理维度,为中国背景下探讨人口迁移问题做出了贡献。第四,本文还提出“一线”城市的人口规模相对于最大化本地或国家福利的水平而言是不足的。第五,本文展示了国内贸易自由化和人口迁移的替代关系,以及人口迁移对国际贸易收益的放大作用。
但本文也存在不足:忽略了汇款问题,在当前模型设定中也没有包含农业部门,同时缺乏对房地产市场的研究。农村部门、住房市场和内部迁移之间的相互作用在当代中国的背景下可以衍生出许多艰巨但值得思考的问题,本文无法在当前设定中包含这些所有渠道,只能留给未来解决。
文稿:巩梓涵 张迪睿
编辑:冯双婷 程一然
审校:张洁
2024年1月9日
