云鹰读书会2024第7期(总第191期)
2024-04-232024年3月21日晚,南开大学经济学院云鹰读书会在圆阶205教室“国际经济与贸易科研训练:理论”课堂上顺利进行,本次读书会由2022级王冠翔和2021级于献闻同学展示Jonathan Eaton and Samuel Kortum发表的论文“Technology, Geography, And Trade”, 2002,由经济学院李凝晖老师跟进指导,助教王子旸提供答疑。
特别鸣谢
本次云鹰读书会由南开大学国际经济贸易系
系友苏武康博士赞助支持
摘 要
本文的核心是,构建并量化了一个引入现实地理特征的一般均衡李嘉图模型。该模型提供了包含绝对优势(技术水平)、比较优势(技术异质性)以及地理障碍相关参数的结构方程式。接着,作者利用1990年19个OECD国家的制造业双边贸易、价格和地理数据来估计参数,并用估计出的参数以及模型进行反事实分析,得出地理障碍对贸易的影响,一国技术进步对其他国家福利的影响,以及关税减免的影响。
目录
一、引言
二、理论部分
三、实证部分
四、总结
01|引言
国际贸易理论未完全解释4个基本事实:为何贸易量与距离显著负相关?地理位置差异如何造成价格的非均一性?各国间要素报酬不同的深层原因是什么?行业间相对生产率为何差异悬殊?这些现象强调了地理因素和技术差异在经济中的核心作用。尽管李嘉图和H-O模型的比较优势理论和专业分工原则,对国际贸易有较强的解释力,但它们在为实证检验提供严格数理证明方面存在不足。
针对这些理论难题,本研究引入改良的引力模型,探讨包含地理要素在内的贸易流量变化,并以1990年OECD国家的制造业数据为基础,实证检验融合地理要素的李嘉图模型效果。通过反事实分析,着重考察地理障碍和技术进步对贸易量与经济福利的具体效应;并探讨取消关税的复杂影响,强调地理距离和劳动力流动性等关键因素对经济福利的影响。
本文借鉴了Grossman和Helpman (1995)对技术与贸易关系的讨论,同时也吸纳了Krugman (1991)在地理与贸易关系上的研究。作者以引入连续商品集的两国李嘉图模型(Dornbusch et al., 1977)作为起点,构建独立于国别的复合中间产品模型,来研究可计算的一般均衡问题(CGE)。
02|理论部分
2.1 模型假设


2.2 价格指数与双边贸易份额
2.2.1 价格分布

2.2.2 双边贸易份额

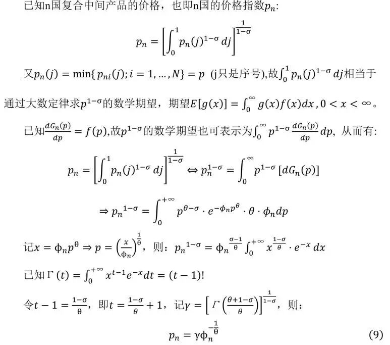
2.2.3 价格指数

2.3 局部均衡与引力模型微观基础

2.4 一般均衡


03|实证部分
3.1 贸易模式——估计贸易方程
3.1.1 使用局部均衡估计参数θ






3.1.2 使用一般均衡估计出口国竞争力Si


3.1.3 使用一般均衡估计θ



3.1.4 估计各国的科技水平Ti



3.2 贸易利得——反事实分析



3.2.1 地理障碍
当各国因无穷大的地理障碍而走向封闭时,各国均呈现出福利损失,如表IX所示。德国、日本、瑞典、英国制造业就业率降低:制造业出口大国,因不参与贸易而出现生产过剩。劳动力在部门之间可以流动时,部分过剩的制造业劳动力可以被其他行业吸收;而当劳动力在部门间无法自由流动时,对四大国的负面冲击更为明显。


3.2.2 地理VS技术


对于小国(丹麦)来说,随着地理障碍从封闭情形下的水平不断减少,制造业开始缩水,生产转移到投入更便宜的较大的国家。然而,随着地理障碍的持续下降,技术力量发挥了更重要的作用(OECD国家技术水平均相对较高),制造业的劳动力比例在增长,往往超过其封闭时的水平。
3.2.3 技术外溢
回到存在地理障碍的情形。表XI报告了如果美国和德国的技术水平分别提高20%时,技术外溢会给各国造成何种影响。当劳动力能够在部门间流动时,OECD没有福利损失;当劳动力不能在部门间自由流动时,各国无法缩减制造业劳动力的规模,整体福利效应通常会较低。在美国技术进步时,拥有大量制造业份额的德国和日本会遭受福利损失。此外,当一国技术进步时,制造业规模较小的周边国家,受到的积极影响越明显,因为这些国家能以更便宜的价格购买到进口商品。例如,当美国的技术水平提升时,加拿大的福利效应明显;德国技术进步时,丹麦、奥地利、荷兰、比利时等国也有较大程度的受益。

3.2.4 关税减免的影响

(1) 共同取消关税
如果所有19个国家共同取消关税,几乎所有国家的福利都会增加。劳动力能够在部门间流动时,贸易利得较大,涨幅百分比从比利时的1.31到日本的0.21不等,大多数国家的收益涨幅都在1%左右。反之,劳动力不流动时,福利改善不超过0.5%。德国则经历了0.05%的损失(关税收入的损失大于低价格和制造业工资带来的收益)。
(2) 美国单方面取消关税
如果美国单方面取消关税,则除美国之外的所有国家均受益。美国在劳动力流动时的福利损失0.005%(非流动的福利损失为0.13%)。最大的赢家是加拿大(地理优势),在劳动力流动时获得了0.5%的福利收益(不流动时提高了1.1个百分比)。各国的福利增长总和大于美国的福利损失。
(3) 欧共体内部取消关税
下表报告了欧共体范围内取消关税的一些影响。欧共体内部贸易与成员国对非成员国的贸易量均呈现出扩大的趋势;另一个有趣的事实是,并非所有国家都是受益者:这在很大程度上取决于劳动力的流动性(荷兰;奥地利),而德国无论劳动力是否能流动都面临福利损失。地理位置更偏北部的国家倾向于将进口从欧共体以外的国家转移到效率相对底下的欧共体内部南部国家进而遭受了福利损失。

04|总结
EK模型用理论解释了如下四个典型的国际贸易事实。
事实1:【地理】贸易随着两国距离增加而急剧减少。
事实2:【地理】各国价格不同。
事实3:【技术】各国要素报酬不同。
事实4:【技术】相对生产力因行业而异。
20世纪初,学界对李嘉图比较优势理论存在着“Powerful but Simple”的批判。一方面,古典经济学假设过于严格,现实是多国多商品;另一方面,李嘉图比较优势理论缺少严格数理证明。Dornbusch, Fischer and Samuelson (1977)将连续产品和贸易成本引入李嘉图模型,给了李嘉图模型的微观基础证明,同时发现贸易成本导致非贸易品出现。尽管如此,DFS解决了贸易模式问题,没有解决贸易所得问题,并且数轴的方法只能研究两国模型,无法扩展到多国模型。EK模型在DFS模型的基础上,首次给出了多国李嘉图模型的数理推导,并且将地理因素也纳入其中。因此,EK模型最大的贡献在于,Putting Ricardo to Work (Eaton and Kortum, 2012)。此外,EK模型为贸易引力方程提供了微观基础,打通了微观与宏观的隔阂;整合了地理与技术对贸易的影响,揭示了四个事实背后的机理;自EK模型以后,贸易领域正式进军量化模型分析方法。
总之,EK为我们呈现出地理、技术与贸易三者的联系,成为后续诸多研究的基础。后续文献多通过对EK模型两大设定(产品生产与市场结构)进行修改进行拓展研究。
参考文献
[1] Eaton, Jonathan, and Samuel Kortum. Technology, geography, and trade. Econometrica 70.5 (2002): 1741-1779.
[2] Simonovska, Ina, and Michael E. Waugh. The elasticity of trade: Estimates and evidence. Journal of international Economics 92.1 (2014): 34-50.
文稿:王冠翔 于献闻
编辑:冯双婷 程一然
审校:李凝晖
2024年4月23日
