云鹰读书会2024第4期(总第188期)
2024-04-03特别鸣谢
本次云鹰读书会由南开大学国际经济贸易系
系友苏武康博士赞助支持
目录
1. 介绍
2. 理论基础
3. 模型框架
4. 平衡增长均衡
5. 均衡解释与福利性质
6. 经济增长、国际贸易与实证研究
7. 结论
1. 介绍
笔者所在的美国的每小时工作产出的价值在一百年内提高了十倍。这种增长被认为源自于有效劳动力和有效资本存量的增长。同时,技术进步也是极其重要的。虽然人类所使用的原材料本质上没有变化,但由于反复试验、探索、改进和科学调查,使得我们对的原料组合方法已经变得更加复杂了。比如,一百年前,我们仅能把氧化铁当做颜料,而如今我们可以用它来制作录像带。
本文的论点建立在三个假设上:
第一,技术变革——对原材料组合的改进,是经济增长的核心。
第二,技术变革的产生在很大程度上是由于人们对市场激励作出反应而采取的有意行动。
第三,技术作为一种投入在本质上不同于其他产品,其投入是一种固定成本,一旦研发成功便没有额外成本的分享和使用。
假设一意味着增长从根本上是由部分排他的、非竞争性投入的积累所驱动的;假设二意味着技术变革的发生是由于自利的行为,因此技术的改进一定会带来至少是部分排他的利益;假设三意味着技术是一种非竞争性的投入。
增长从根本上是由部分排他的、非竞争性投入的积累所驱动的大多数的总体增长模型,甚至是那些具有溢出效应或外部效应的模型,都依赖于完全竞争的假定。但是,如果在这些增长模型中加入本文所建立的三个假设,那么这些模型都不能实现均衡。本文的第二部分首先说明了为什么会这样。并阐明这些依赖于完全竞争的假定的增长模型中,哪些前提被忽略了。
在本文第三节概述的特定模型中,当企业创造一种新产品时,它会租赁用于生产此种产品的耐用资本品,并通过以高于其恒定生产成本的价格出售新产品来收回这些成本。但由于这种生产活动是自由进入的,企业在现值意义上的利润为零。
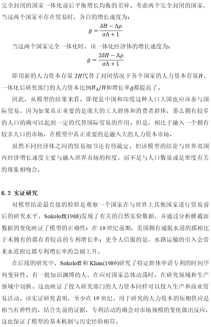
以往的差异化商品静态贸易理论的认为,在固定成本的条件下,厂商期望在扩大的市场规模中取得更多的收益,因此可以在国际贸易中取得更多的收益。而本文的突破在于通过模型构建得出,市场规模的扩大不仅对收入和福利水平有影响,而且对增长率也有影响,即更大的市场会带来更多的研究和更快的增长。
本文还通过分析表明,为什么人口不是衡量市场规模的正确标准,而人力资本才是,以及为什么中国或印度等国拥有庞大的国内市场,但其国内市场却不能替代与世界其他地区的贸易。当今世界上人力资本存量的增长速度处于增加阶段,但这并不取决于劳动力数量或人口的总规模。对于一个极端贫困的国家,如果人力资本存量过低,增长可能根本不会发生。
2. 理论基础



3. 模型框架






4. 平衡增长均衡




5. 均衡解释与福利性质




6. 经济增长、国际贸易与实证研究


7. 结论
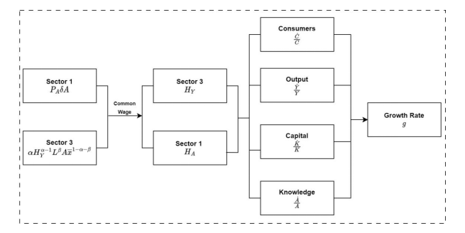
本文中的模型本质上是一个涵盖技术进步的单部门新古典模型,其中包含了对于技术进步来源的内生解释。我们可以从中得出一些结论。由于研究项目将现有的花费转化为未来的收益流,技术进步率对于利率较为敏感;尽管研究的投入体现在资本中,补贴物质资本的积累对于研究的促进作用可能远不如直接对研究做出补贴来得有效;当没有可行的政策解决研究中私人和社会报酬之间的分歧时,政府的次优政策是补贴社会总人力资本的积累。
该模型还可以对一些现象做出解释。有着更高人力资本存量的国家可以实现更快的经济增长;自由国际贸易可以加速经济增长;20世纪一些发达国家实现了人类历史上空前的人均收入增长率;人力资本存量的低水平可以用以解释一些欠发达的封闭经济体很难实现增长;拥有较多人口的相对不够发达的国家也可以从融入世界经济一体化进程中获益。
参考文献
[1] Romer P M. Endogenous technological change[J]. Journal of political Economy, 1990, 98(5, Part 2): S71-S102.
下期预告
时间:2024年3月15日下午18:30-21:05
地点:南开大学八里台校区经济学院圆阶305教室
论文:
Aghion P, Bloom N, Blundell R, et al. Competition and innovation: An inverted-U relationship[J]. The quarterly journal of economics, 2005, 120(2): 701-728.
文稿:左天佑,陈浩平
编辑:吕宸慧 程一然
审校:何秋谷
2024年4月3日
