云鹰读书会2024第23期(总第207期)
2024-07-052024年5月 10日下午,南开大学经济学院云鹰读书会在圆阶305教室“数字经济与贸易科研训练:理论”课堂上顺利进行,本次读书会由2022级本科生刘清瑞、鲁文朔和朱奕帆同学展示Charles I. Jones and Christopher Tonetti的发表在American Economic Review的论文“Nonrivalry and the Economics of Data”, 2020,由国际经济贸易系 何秋谷 老师跟进指导,助教薛靖羲提供答疑。
特别鸣谢
本次云鹰读书会由南开大学国际经济贸易系
系友苏武康博士赞助支持
摘要
数据是非竞争性的: 一个人的位置历史、医疗记录和驾驶数据可以被许多公司同时使用。非竞争性导致收益递增。因此,公司之间广泛使用数据可能会产生社会效益,即使存在隐私方面的考虑。由于害怕创造性破坏,公司可能会选择囤积他们的数据,导致非竞争性数据的低效使用。给予消费者数据产权可以使分配接近最优。消费者在广泛销售数据带来的经济收益面前平衡他们对隐私的关注。
1. 引言
近年来,数据在经济中的重要性日益显现,更强大的计算机和机器学习等算法的进步导致数据的用途呈现爆炸式增长。例如:自动驾驶汽车、实时语言翻译、医疗诊断、产品推荐和社交网络。
本文开发了一个研究数据经济学的理论框架,我们特别感兴的是不同的数据产权如何决定其在经济中的使用,从而影响产出、隐私和消费者福利。我们分析的出发点是观察到数据是非竞争性的,也就是说,在技术层面,数据是无限可用的。我们论文的主要发现是与数据相关的政策具有重要的经济后果。当企业拥有数据时,他们可能无法充分尊重消费者的隐私;由于数据具有非竞争性,因此广泛使用数据可能会带来巨大收益;数据市场提供了促进更广泛使用的经济激励措施,但如果出售数据会增加创造性破坏的速度,企业可能会以社会效率低下的方式囤积数据。
论文考虑的另一种分配是政府。也许是出于对隐私的担忧,政府大幅限制企业对消费者数据的使用。虽然该政策成功地产生了隐私收益,但由于非竞争 性投入未在适当规模上使用而导致效率低下,因此反而可能会产生更大的成本。
“数据经济学”是一个新的但快速发展的领域,本文中提供了一个宏观的视角。由于强调非竞争性,因此模型中数据的角色和增长文献中思想的角色有相似之处。与增长文献相比,该文章模型最显著的特征是:在非竞争性商品的使用上,模型中许多公司同时广泛使用数据;在Romer(1990)和Aghion和Howitt(1992)风格的模型中,每个公司使用一个单一的想法。关于非竞争性商品市场,本文的模型设置包括市场,每个公司通过这个市场决定买卖的数据量;而在基于想法的模型中,通常的发明公司自己生产或将单一的蓝图卖给单一的垄断生产商。最后是关于产权,在基于思想的模型中,思想的产权总是由公司持有;而在本文模型的设置中,消费者和公司都可以持有数据所有权。
同时,我们对去中心化均衡分析的核心是数据市场,此功能与 kcizit、Celik 和 Greenwood(2016) 中的创意市场有关,在他们的设置中,这个想法一次只能被一家公司使用,市场有助于将这个想法分配给最能利用它的公司,相比之下,我们的数据市场允许多家公司同时使用非竞争性商品。Akcisit 和 Liu(2016) 展示了在增长背景下,某些研究路径导 致死胡同的信息如何具有社会价值,以及如果这些信息不在企业之间共享,经济可能会因低效重复研究而遭受损失,这为本文数据共享方面的展开奠定了基础。最后为了强调非竞争性与规模效应之间的关系,并在简单环境中 研究不同的产权制度,我们的模型省略了数据文献中普遍存 在的一些有趣的特征。在我们的模型中,数据不会影响公司 通过价格或数量歧视消费者的能力。
本文的其余结构如下:第一节提供了一个简单的模型来证明非竞争性与规模效应之间的联系;第二部分转向完整模型并介绍经济环境;第三节审查社会规划者选择的分配;第四节转向企业拥有数据的去中心化均衡,并表明企业过度使用自己的数据并严格限制向其他企业出售数据可能是私人最优的;第五节考虑了一种分配,其中消费者拥有数据,并权衡隐私考虑,将数据出售给多个公司;第六节展示了如果政府禁止出售数据会发生什么;第七节收集并讨论了我们的主要理论结果八节进行了关于模型的数值模拟,以说明对模型产生影响的各种力量。
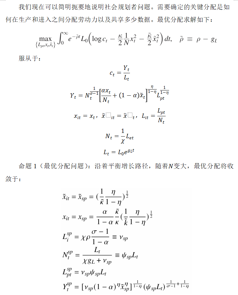
2. 模型构建



















3. 数值模拟




4. 讨论
对于产业组织潜在的影响,我们发现因为数据非竞争性导致规模收益递增,所以厂商可能会合并成为整个经济体,回顾医院的例子,这有可能是有益的,所以数据政策与反垄断政策应当协同整体制定。
数据垄断可能会使数据成为厂商进入市场的门槛,关于这一点在本文中可以通过创造性破坏来体现。如果数据是消费的副产品或刺激厂商投资的结果,那么最优情况可能会改变。对于数据扩散,我们认为其边界是厂商与国家。ideas 通常能够在国家间流动传播,因为ideas与人相结合、被人所吸收而具象化为人力资本,难以被加密或管控,所以与ideas 相关的规模通常是全球市场。而数据则更易于被监管、限制传播。但数据量大能否被视为拥有重要的生产力优势呢?根据中国的经验来看,结果是这样的。
5. 结论
当厂商拥有数据时,他们会过度使用它们,并且没有给予消费者隐私以充分尊重。考虑到创造性破坏,他们可能会不情愿销售太多数据,而限制使用非竞争性的数据的福利损失可能会非常大,彻底禁止数据销售的危害更是非常严重。将数据所有权给消费者可以接近最优,消费者能够自己权衡出售数据的隐私成本与经济收益。但如果消费者拥有数据时,铺天盖地的交易成本与信息可能会压垮他们。这就展现出了通过数据中介与科技创新来解决上述问题的弥足珍贵的价值。
参考文献
[1] Aghion P, Bergeaud A, Van Reenen J. The impact of regulation on innovation[J]. American Economic Review, 2023, 113(11): 2894-2936.
下期预告
时间:2024年5月16日下午18:30-21:05
地点:南开大学八里台校区经济学院圆阶205教室
论文:
“The Alibaba effect: Spatial consumption inequality and the welfare gains from e-commerce”, Fan et al (2018).
文稿:刘清瑞 鲁文朔 朱奕帆
编辑:吕宸慧
审校:何秋谷
2024年7月5日
