云鹰读书会2024第35期(总第219期)
2024-10-10特别鸣谢
本次云鹰读书会由南开大学国际经济贸易系
系友苏武康博士赞助支持
摘要
Krugman(1980)基于同质性企业的研究假设,分析指出商品之间较高的替代弹性会放大贸易壁垒对双边贸易流的影响。本文在此基础上引入了企业异质性——当生产率服从帕累托分布(接近观察到的美国企业规模分布)时,研究发现上述结论就会被推翻:贸易壁垒对双边贸易流的影响会受到产品间替代弹性的抑制,而不是放大。
目录
1. 引言
2. 模型建立
3. 一般均衡
4. 集约边际和扩展边际
5. 总结
1. 引言
Krugman(1980)认为国际贸易的重要原因是消费者偏好的多样化。因此,即使存在贸易壁垒,相同国家仍进行有差别的商品贸易,消费者愿意为来自外国的差异化产品付出更高的成本。Krugman(1980)模型的重要假设是,所有企业都是相同的,贸易成本的唯一形式是可变的运输成本(以冰山成本的形式表示)。在这些假设条件下,每个企业都向世界上的每个国家出口商品;而当商品之间的替代弹性较高时,竞争会更加激烈,贸易壁垒与贸易流动的影响更大。
本文在Krugman(1980)模型的基础上,引入企业异质性以及固定的生产成本。这些简单的修正引入了一个新的调整边际——扩展边际。当运输成本变化时,不仅每个出口商的出口规模会发生变化(集约边际),而且出口商的集合也会发生变化(扩展边际)。本文的主要发现是,替代弹性对每个边际的影响是相反的:替代弹性越大,集约边际对贸易壁垒变化的敏感度越高,而扩展边际对贸易壁垒变化的敏感度越低。哪种效应占主导地位?本文证明,当生产率分布服从帕累托分布时,贸易壁垒对扩展边际的影响占主导地位,即贸易壁垒对贸易流动的影响会受到替代弹性的抑制。
异质性企业模型还预测,与代表性企业模型相比,相同的贸易壁垒对贸易流量的影响更大。当贸易壁垒减少时,每个企业都会增加出口,并且新企业也开始出口。这种扩展边际上的调整在数量上非常重要。依据观察到的美国企业规模分布,本文预测贸易流量与关税等可变贸易壁垒的弹性是没有企业异质性情况下的两倍。
Melitz(2003)在国际贸易的一般均衡模型中引入了企业异质性。本文在此基础上考虑了一个有多国非对称情形的世界,这些国家之间存在非对称的贸易壁垒。然后,本文研究企业的出口与否以及如果出口,企业将选择哪些国家作为目标。将此模型嵌入全球均衡中,可以预测双边贸易流动的结构。另外,进入外国市场的固定成本的引入,也为研究贸易的扩展边际提供了基础。
本文的其余部分安排如下。第一节介绍了一个具有异质企业的简单国际贸易模型,并推导出局部均衡结果。第二节,本文计算了世界经济的一般均衡。第三节则分别确定了贸易的集约边际和扩展边际在可变和固定贸易壁垒发生变化时的调整情况。
2. 模型建立



3. 一般均衡



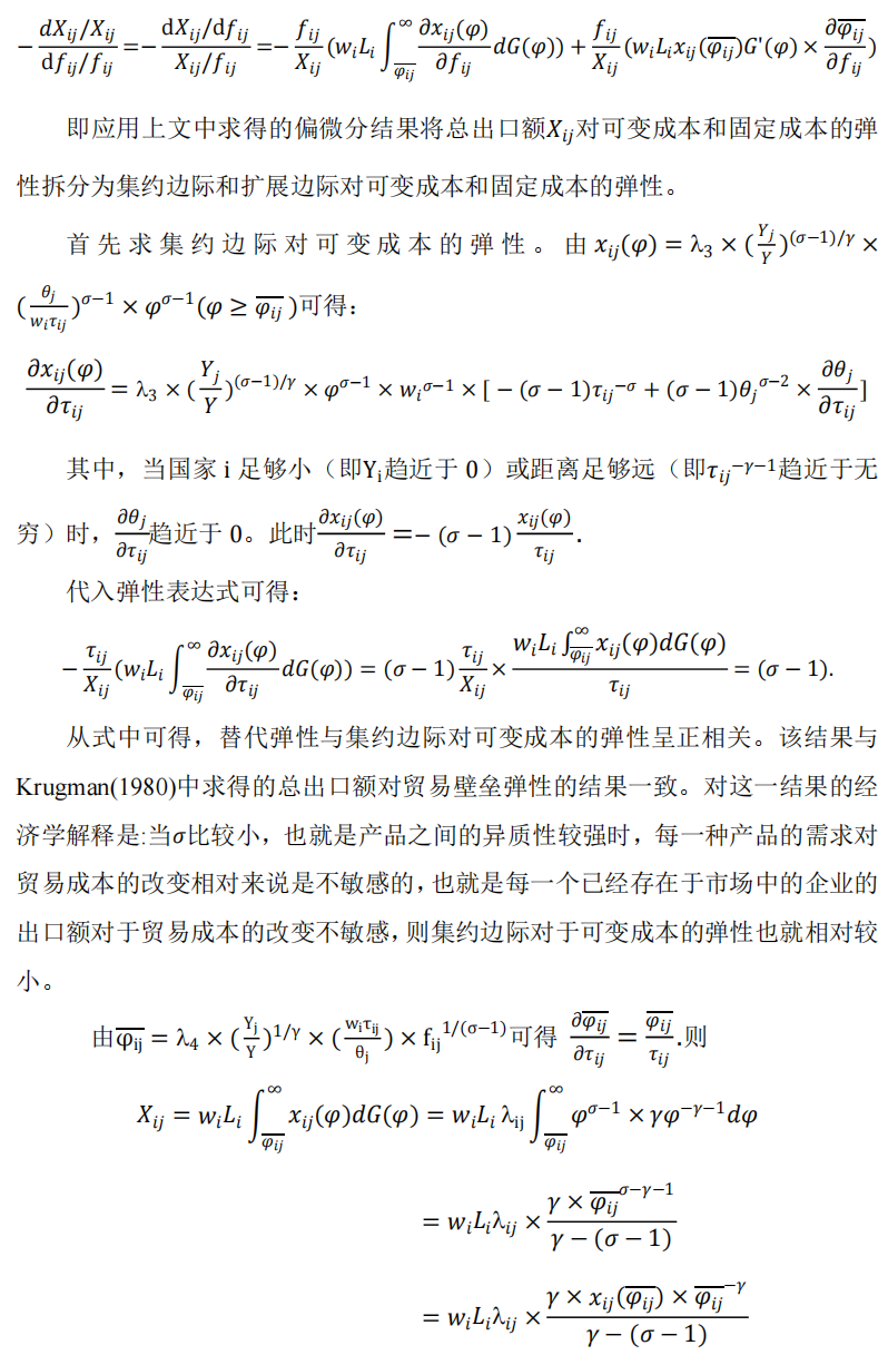
4. 集约边际和扩展边际




5. 总结
本文将企业异质性引入双边贸易流量的引力模型,并与 Krugman(1980)中的企业同质性模型得出了相反的结论。即替代弹性减小了贸易壁垒对出口额的影响而非放大。同时,本文引入了固定成本和基于此的扩展边际的调整,并最终证明了总出口额对贸易壁垒的弹性主要与扩展边际有关。
参考文献
[1] Krugman, P. (1980). Scale economies, product differentiation, and the pattern of trade. American Economic Review, 70(5): 950-959.
[2] Melitz, M.J. (2003), The Impact of Trade on Intra-Industry Reallocations and Aggregate Industry Productivity. Econometrica, 71: 1695-1725.
下期预告
时间:2024年9月30日晚上18:30-21:05
地点:南开大学八里台校区经济学院圆阶305教室
论文:Akerman et al. Information frictions, broadband internet and the relationship between distance and trade. AEJ: Applied Economics, 2022, 14(1):133-163.
文稿:李京京 王兰心
编辑:吕宸慧
审校:冯笑
2024年10月10日
